创新药专题:抗体偶联药物,靶向递送毒性小分子的生物导弹
- 来源:未来智库
- 发布时间:2019/11/27
- 浏览次数:2655
- 举报
温馨提示:如需原文档,请登陆未来智库www.vzkoo.com,搜索下载。
投资聚焦
本报告由浅入深地分析了整个抗体偶联药物行业的来龙去脉,全面分析了ADC的临床价值和商业价值,对ADC行业进行了系统的总结与案例分析,并梳理了下一代 ADC 技术演化的方向,同时遴选了部分国内具有差异化竞争优势的 ADC 药物进行重点分析。
报告认为,在 ADC 类药物日趋白热化的竞争压力下,胜出的主要要点是:
1) 开发适合 ADC 的新靶点。
靶点是 ADC 类药物适用瘤种范围的前提,是决定市场天花板的关键因素。差异化的靶点选择意味着更优良的竞争格局,且有希望拓展更大的市场空间。
2) 实现已有靶点的 me-better 甚至 me-best。
对于 HER2 等现有成熟靶点的研发,虽然确定性强,但竞争较为激烈,胜出需要通过新的毒性小分子、优化 linker 设计、均一化 DAR 等技术改进方案提升安全性和有效性,获得 me-better 甚至 me-best 的临床价值优势才能脱颖而出。
1、靶向递送毒性小分子的"生物导弹"成为热门新方向
抗体偶联药物(Antibody–Drug Conjugates,ADCs)已经成为当前全球抗体药物研发的热门方向。截至 2019.11,FDA 共批准了 6 款 ADC 药物上市,包括 Seattle 的 Adcetris、Genentech 的 Kadcyla 和 Polivy、Wyeth 的Besponsa 和 Mylotarg,其中的代表产品——抗 CD30 的 Adcetris 在 2018年实现销售收入 4.77 亿美元(+55%),抗 HER2 的 Kadcyla 则实现销售收入 9.79 亿瑞士法郎(+8%)。
该类药物的优点是能够将抗体的高特异性与细胞毒药物的高杀伤力相结合,对部分肿瘤展现出优秀的疗效,具有独特的临床价值。
抗体偶联药物的设计思路是将抗体与细胞毒药物进行偶联,从而同时发挥抗体高特异性与细胞毒小分子的高毒性,利用抗体-抗原的高度靶向结合将药物输送至肿瘤部位,将细胞毒药物强大的细胞杀伤能力集中于肿瘤细胞,降低正常组织的毒副作用。
上世纪 60 年代便已经有了在动物模型中试验 ADC 的尝试,80 年代推进了临床,首个获批的 ADC 是由 Wyeth 研发的 Mylotarg(GemtuzumabOzogamicin),于 2000 年被 FDA 批准上市。但是该药物在上市后的临床研究中联用化疗未能延长生存期且增加了毒性,因此 2010 年由企业主动撤市。Mylotarg 上市后的 10 余年间未再有新的 ADC 获批。
随着技术进步,ADC 类药物毒性逐渐可控、安全性逐步提升。2011 年获批的 Adcetris 和 2013 年获批的 Kadcyla 催化 ADC 研发热度升温,全球数十个药物陆续投入研发。随着 ADC 的技术进步,该类药物趋向于均一性和稳定性提升,药效增强。
ADC 类药物的技术关键要点:
毒性小分子选择:由于 ADC 的小分子要求高毒性、亲和性,同时要对多药耐药蛋白(MDR1)介导的外排的低敏感性,导致适用的分子较少,目前多为 auristatins 和 maytansinoids 家族的衍生物,其他小分子的研发多以失败告终。
Linker 设计:连接抗体和毒素的 linker 必须在血液循环中保持稳定,以免毒性小分子释放到血液中产生严重不良反应,而进入癌细胞后又必须有效释放毒性小分子进行杀伤。第二代 ADC 所采用的马来酰亚胺类linker有在血清中早期解离的风险,因而第三代ADC对该风险进行改良。
抗体改造:对 IgG 分子进行改造以使其适合连接药物,并获得尽可能高的均一性。传统 ADC 所采用的 TDC 技术(THIOMAB drug conjugates)有在血液中解离的风险,因而该问题成为新一代 ADC 需要重点解决的技术关键。
1.1、案例 1:现阶段唯一实体瘤 ADC——Kadcyla
Kadcyla (ado-trastuzumab emtansine)是由靶向 HER2 的曲妥珠单抗,与微管抑制剂 DM1(一种美登素衍生物)通过 MCC linker 连接而成的 ADC 药物。其中曲妥珠单抗通过 CHO 细胞表达,MCC 与 DM1 通过化学合成方法生产,平均每个抗体上连接 3.5 个 DM1。该药物于 2013 年获 FDA 批准上市,原研企业为罗氏旗下的 Genentech。
截至 2019 年 5 月,Kadcyla 获 FDA 批准的适应症为单药治疗:
接受过曲妥珠单抗和紫杉类药物分别或联合治疗的HER2阳性转移性乳腺癌患者,患者需满足以下条件之一:
接受过转移性乳腺癌的前线治疗,或在辅助治疗期间或完成后六个月内复发;
在紫杉类和曲妥珠单抗为基础的新辅助治疗后有剩余侵袭性病灶的HER2 阳性早期乳腺癌的辅助治疗。
2018年,Kadcyla实现销售收入 9.79亿瑞士法郎,同比+8%,在罗氏抗HER2抗体组合中占比 9%。
目前,罗氏已经凭借曲妥珠单抗+帕妥珠单抗+Kadcyla 完备构建了包含新辅助/辅助/一线/二线全流程的抗 HER2 靶向治疗,其中 Kadcyla 即定位于早期剩余侵袭性病灶的辅助治疗和转移性患者的二线治疗,竞争格局良好,临床刚需强劲。
1.1.1、二线优于拉帕替尼联用卡培他滨、辅助优于曲妥珠单抗
(1)二线转移性乳腺癌击败拉帕替尼联用卡培他滨
在 EMILIA 临床试验(NCT00829166)中,991 名 HER2 阳性、不可切除的局部晚期或转移性乳腺癌患者在接受过前线的紫杉类和曲妥珠单抗治疗后,分别接受 Kadcyla 或拉帕替尼联用卡培他滨的治疗,结果显示,Kadcyla 组vs.拉帕+卡培组获得更优的治疗效果:
PFS:9.6 个月 vs.6.4 个月,p<0.0001,提升 3.2 个月;
OS:30.9 个月 vs.25.1 个月,p=0.0006,提升 5.8 个月。
该试验结果表明,Kadcyla 相比拉帕替尼+卡培他滨有更优秀的 HER2 阳性乳腺癌二线治疗获益,奠定了其临床治疗的强势基础。
(2)早期乳腺癌辅助治疗击败曲妥珠单抗
在 KATHERINE 临床试验(NCT01772472)中,1486 名接受过紫杉类和曲妥珠单抗为基础的新辅助治疗后仍有乳腺和/或腋淋巴结残留侵袭性肿瘤的HER2 阳性早期乳腺癌患者,分别接受 Kadcyla 或曲妥珠单抗的治疗,在主要终点无侵袭性疾病生存期(Invasive Disease-Free Survival, IDFS)指标中,Kadcyla 组 vs.曲妥珠单抗组显示出更好的疗效:
发生侵袭性疾病患者比例:12.2%vs.22.2%,p<0.0001,降低 10 个百分点;
3 年无侵袭性疾病率:88.3%vs.77.0%,提升 11.3 个百分点。该实验结果表明,Kadcyla 辅助治疗对于接受过 HER2 新辅助治疗后仍有残余病灶的患者有更优的临床获益。
1.1.2、不良反应可控,安全性可接受
在治疗转移性乳腺癌的 EMILIA 试验中,Kadcyla 展现出良好的安全性,发生率较高的 3-4 级不良反应包括血小板减少(15%)、转氨酶增加(8%),整体不良反应情况较为可控,安全性可接受。
1.1.3、国内抗 HER2-ADC 乳腺癌适应症空间
中国 2015 年新发病乳腺癌患者约 30.4 万人,占比 8%;死亡约 7.0 万人,占比 3%。死亡/发病的比例约为 23%,是一种相对预后较好的癌种,早期、中期发现的患者比例相对较高。
我们测算国内 HER2-ADC 用于新发乳腺癌的辅助治疗市场空间约为 8 亿元,二线治疗市场空间约为 9 亿元,合计空间约为 17 亿元。(考虑到乳腺癌存量患者较多,实际市场空间应更大)
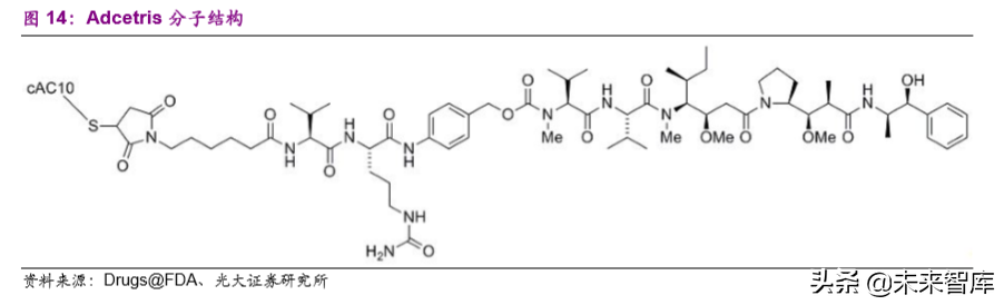
1.2、案例 2:血液瘤 ADC 代表——Adcetris
Adcetris (Brentuximab Vedotin)是一种靶向 CD30 的抗体偶联药物,其组成部分包括:1)靶向 CD30 的嵌合 IgG1 抗体 cAC10;2)微管抑制剂 MMAE;3)共价连接前两者的、可由蛋白酶剪切的 linker。
其分子量约为 153kDa,平均每个抗体分子链接 4 个 MMAE,抗体通过 CHO细胞生产,小分子通过化学合成,然后将二者通过 Linker 进行连接。
CD30 主要在霍奇金淋巴瘤和间变性大细胞淋巴瘤中进行表达,在正常组织中表达量较低,是理想的肿瘤靶向治疗靶点。
在 2011 年获批上市后, Adcetris 销售收入持续增长,其中原研企业 Seattle负责美国、加拿大地区的销售,2018 年实现销售收入 4.77 亿美元,授权武田进行全球其他地区的销售,2018 年获得授权收入 0.83 亿美元。
1.2.1、CHL、sALCL、MF 等适应症疗效优于化疗
(1)经典型霍奇金淋巴瘤击败化疗
在一线治疗 III~IV 期经典型霍奇金淋巴瘤(CHL)的试验 ECHELON-1(NCT01712490)中,1334 名未接受过治疗的 III~IV 期 cHL 患者分别接受Adcetris 联用化疗和化疗,Adcetris 组 vs.化疗组显示出疗效的优势。
该试验结果表明,Adcetris 用于一线治疗 III~IV 期 cHL 具有明显的临床优势。
(2)系统性间变性大细胞淋巴瘤(sALCL)和其他 CD30 阳性的外周 T 细胞淋巴瘤(PTCL)击败化疗
对于未经治疗的、CD30 阳性的外周 T 细胞淋巴瘤患者(PTCL)的临床试验 ECHELON-2(NCT01777152)结果表明,Adcetris+CHP 组 vs.CHOP组呈现明显的临床疗效优势。
试验结果表明,Adcetris 联用 CHP 的方案对于一线 CD30+PTCL 具有明显的临床优势。
(3)初治的皮肤间变性大细胞淋巴瘤和 CD30 阳性的蕈样真菌病击败医师选择方案
在针对初治的皮肤间变性大细胞淋巴瘤(pcALCL)或蕈样真菌病(MF)患者的临床试验 ALCANZA(NCT01578499)中,131 名患者分别使用 Adcetris或医师选择的治疗方案(甲氨蝶呤或贝沙罗汀),Adcetris 组 vs.医师选择方案组获得明显的临床优势。
该试验结果表明,Adcetris 用于 pcALCL 或 MF 可使患者获得明显的临床获益。
1.2.2、不良反应可控,安全性可接受
Adcetris 用于各种血液瘤最常见的单药不良反应包括周围神经病变、疲劳、恶心、腹泻、中性粒细胞减少、上呼吸道感染、发热等,联用化疗时会导致部分不良反应有一定程度的加重。
整体来看,Adcetris 单药或联用化疗的不良反应可控,安全性可接受。
1.2.3、国内抗 CD30-ADC 淋巴瘤适应症空间
Adcetris 已经获批的适应症包括经典霍奇金淋巴瘤、间变性大细胞淋巴瘤、血管免疫母细胞性 T 细胞淋巴瘤、原发性皮肤间变性大细胞淋巴瘤或 CD30阳性的蕈样肉芽肿。以上适应症在中国淋巴瘤患者中的占比合计约为 14%。
我们预计抗 CD30-ADC 在国内的市场空间约为 8 亿元。
2、多种技术改进方案持续优化 ADC
2.1、寻找新靶点,扩大适应症范围
适合 ADC 药物的抗原靶点需具备以下特点:
-
在肿瘤细胞高表达,在正常组织低表达或不表达;
-
在细胞表面表达,可接触到循环系统中的抗体;
应当是内化抗原,从而在结合后可使 ADC 药物进入细胞。由于靶点是将药物导向癌细胞的关键,因此新靶点的发现成为 ADC 拓展新适应症、获取更大市场空间的关键。除已上市的针对 HER2 阳性乳腺癌和针对血液瘤的各种 ADC 外,目前国际上有多个新靶点正在开发中,如 5T4(实体瘤)、Ephrin A4(三阴性乳腺癌、卵巢癌)、间皮素(胰腺癌、卵巢癌)、CD138(多发性骨髓瘤和实体瘤)、CD37(非霍奇金淋巴瘤)、GPNMB(黑色素瘤、骨肉瘤、三阴性乳腺癌、肺鳞癌)等。
2.2、寻找新毒性小分子,更加高效、安全
由于肿瘤细胞表面抗原数量有限,而每个抗体上面连接的小分子药物通常在2~4 个,同时大分子穿过细胞膜的效率较低,因此能够进入肿瘤细胞内部的毒性小分子数量有限,这就对小分子杀伤肿瘤细胞的效率要求较高。由于高毒性的要求,目前传统的细胞毒类抗肿瘤药组合 ADC 的试验多以失败告终,主流技术路线是采用 auristatins 和 maytansinoids 家族的衍生物,进入肿瘤细胞后破坏 DNA 或者微管从而抑制其增殖。
2.3、优化 linker 设计,循环稳定瘤内杀伤
理想的 ADC 药物应当在循环系统中保持稳定,尽可能减少毒性小分子的脱落以免造成过高不良反应,同时在进入肿瘤之后,又应当有效的释放毒性小分子以完成杀伤癌细胞的功能,两种目标的平衡则对 linker 的设计有很高的要求。目前 linker 的设计思路有以下几种考虑:
可剪切或不可剪切的设计:
可剪切:对细胞内的某些环境和酶敏感,如溶酶体蛋白酶(brentuximab vedotincaiyogn 的二肽键)或酸性 pH(gemtuzumabozogamicin 和 inotuzumab ozogamicin 的腙)等,ADC 在进入细胞后 linker 断裂释放毒性小分子杀伤肿瘤;
不可剪切:在 ADC 发生蛋白质降解后释放 linker-药物,如ado-Trastuzumab Emtansine。
旁观者效应(bystander effect)的增强和减弱:
强化旁观者杀伤:由于肿瘤的异质性,导致不同肿瘤细胞的抗原表达有差异,靶向性过强则有可能导致"漏杀"部分肿瘤细胞;若增强旁观者杀伤能力,则可对周围抗原表达不同的肿瘤细胞也发挥抗癌效果。如 Brentuximab Vedotin,其 MMAE 被剪切释放之后可以穿过生物膜杀伤临近的上皮细胞。
弱化旁观者杀伤:对于抗原高表达、均一性较强的肿瘤,则不必采用旁观者效应即可有效杀伤肿瘤细胞。如 ado-TrastuzumabEmtansine,其降解后的产物由于带正电荷而无法穿透细胞膜,因此只能对 HER2 阳性癌细胞造成杀伤而无旁观者杀伤效果。
增强极性:肿瘤细胞可以通过上调 MDR1 基因的表达而产生多药耐药性(multidrug resistance,MDR),带电荷的或亲水的 linker 可以增强 ADC对 MDR1+细胞的杀伤能力。
2.4、均一化 DAR 等其他改进思路
除寻找新的靶点、新的毒性小分子和优化 linker 设计之外,ADC 类药物开发的也有其他的改进思路,如提升药物/抗体比率(Drug-to-Antibody Ratio,DAR)的均一性。若每个抗体上结合的小分子药物数量波动范围较大,则裸抗体会与 ADC 竞争结合位点,从而削弱治疗效果;优化抗体分子与毒性小分子的结合,提升 DAR 的均一性有利于强化抗肿瘤效果。
综合来看,ADC 技术演化的方向是持续扩大治疗窗,通过更多的新靶点、新的高效毒性小分子、优化 linker 设计、均一化 DAR 等思路来进一步加强ADC 杀伤肿瘤细胞的特异性和效率,降低不良反应。
3、国内部分 ADC 先锋
3.1、恒瑞医药:广谱抗癌和克服 EGFR-TKI 耐药潜力的SHR-A1403
原癌基因 MET 编码的受体酪氨酸激酶 c-MET 是肝细胞生长因子(HepaticGrowth Factor, HGF)已知的唯一高亲和力受体,c-MET/HGF 通路调控异常会促进肿瘤增殖、血管生成、转移和耐药。因而该通路有较高的抗肿瘤成药的潜力,已上市的药物包括克唑替尼、Cabozantinib 等小分子抑制剂;但是普通结构的抗体会导致 c-Met二聚化,刺激下游信号从而影响抗肿瘤活性,目前尚无成功抗体药上市。
根据《 SHR-A1403, a novel c-Met antibody-drug conjugate, exertsencouraging anti-tumor activity in c-Met-overexpressing models》的介绍,ADC 类药物发挥作用则仅需要抗原高表达和介导毒性小分子内吞,理论上可解决普通抗体在 c-Met 靶点的成药性问题。同时 c-Met 高表达的情况在30-50%的肿瘤类型中普遍存在,如肺癌、肝癌、胃食管癌等,且正常组织表达量很低。抗 c-Met 的 ADC 有望成为治疗窗大、安全性好的广谱抗癌药。
截至 2019.11,国内抗 c-Met 抗体药物推进至临床阶段的包括岸迈生物的EMB-01 和恒瑞医药的 SHR-A1403,处于 IND 或临床前阶段的有恒瑞医药 (美国临床)、复宏汉霖、贝达药业等企业。其中恒瑞的 SHR-A1403 是唯一的 ADC 药物,于 2019 年 2 月完成国内 I 期临床的首例患者入组,2017年 1 月获得 FDA 批准临床。
在临床前动物试验中,SHR-A1403 在肝癌、肺腺癌、胃癌等多种肿瘤细胞系中显示出抗肿瘤活性,ADC 相比对照组和裸抗体组显示出更加强大的抑制肿瘤生长的能力,未来有在多癌种的临床试验中实现抗肿瘤效果的潜力。
对于 EGFR 阳性的非小细胞肺癌(NSCLC)患者,EGFR-TKI 治疗普遍存在耐药问题,而大多数耐药肿瘤细胞中都会过表达 c-Met,SHR-A1403 则在临床前动物试验中克服了该耐药问题。未来 SHR-1403 有望成为 EGFR-TKI耐药后 c-Met 阳性患者的新治疗选择。
3.2、浙江医药:与 Ambrx 合作开发 me-better 潜力的ADC
3.2.1、国际一流的蛋白质技术合作伙伴 Ambrx
自 2013 年开始,浙江医药通过与美国 Ambrx 公司进行合作进军 ADC 领域。Ambrx 的核心能力是在蛋白质药物研发上突破技术难关并持续创新,如蛋白质定点共轭技术。该公司开发成功了非天然氨基酸定点插入蛋白质序列的革命性技术,并先后在大肠杆菌表达系统和 CHO(中国仓鼠卵巢细胞)表达系统中取得了成功,使蛋白质定点共轭小分子药物十分容易,从而在安全的前提下使靶向治疗效果更加明显。理论上可以使用该项技术对已知蛋白质药物重新修饰,生产出具有专利的、优化的新蛋白质药物。为此,跨国制药巨头默克、礼来、施贵宝和 Astellas 等纷纷与该公司进行相关产品的技术合作。
传统 ADC 是由疗效和毒性不等的偶联混合物组成。目前,通过定点偶联来获得单一 ADC 纯品已成为 ADC 领域新的研发方向。Ambrx 的 ADC 是通过定点嵌入非天然氨基酸来实现在单克隆抗体上定点、定量接入抗肿瘤的小分子药物,以获得单一的 ADC 纯品。这相当于在"生物导弹"上精确地装上了"核弹头",使得治疗更加安全、有效、定向。
3.2.2、me-better 潜力的抗 HER2-ADC——ARX788
2013 年 6 月 14 日浙江医药与美国 Ambrx 公司签署合作协议。
2018 年 6 月 7 日,浙江医药将全部合同权利义务转让给控股子公司浙江新码生物医药有限公司。
在体外试验中,Ambrx 通过非天然氨基酸结合而成的 HER2-ADC 相比传统的半胱氨酸结合的HER2-ADC在为期 30天的培养之后表现出更加稳定的总抗体和 ADC 抗体浓度,且与人血白蛋白结合的药物浓度很低,该特性有利于保持 ADC 药物在人体循环系统中的稳定性,降低毒性。
在体内试验中,Ambrx 开发的非天然氨基酸结合型 ADC 表现出更加优秀的抗肿瘤效果,对于胃癌和乳腺癌的小鼠模型均表现出持久的抑制肿瘤生长的效果,且小鼠并未表现出体重减轻等症状,安全性较为可控。
3.2.3、新颖靶点的抗 CD70-ADC——ARX305
2019 年 10 月 22 日,浙江医药下属新码生物与 Ambrx 签订协议,将合作研发并商业化许可 ARX305 产品,具体条款如下:
……
根据公司公告,此次许可的 ARX305 是抗 CD70-ADC,CD70 为一种跨膜蛋白,病理状态下在多种肿瘤(如:肾细胞腺癌、肾透明细胞癌、急性髓细胞样白血病、非霍奇金淋巴瘤、霍奇金淋巴瘤、骨髓增生异常综合症等)表面特异性高表达,是近年来广受关注的肿瘤治疗靶点。目前国外有多款针对CD70 的单克隆抗体或 ADC 药物处于临床研究状态,尚未有相关药物上市;国内尚未有针对CD70的单克隆抗体或 ADC的临床注册记录。目前ARX305在美国处于临床前研究阶段,新码生物将逐步开展国内研发工作。
3.3、其他 ADC 概览
3.3.1、其他抗 HER2-ADC
国内首个进入 III 期临床的 HER2-ADC 是百奥泰的 BAT8001,该药物是曲妥珠单抗通过硫醚键与毒素-连接子 Batansine 共价连接而成。根据百奥泰招股说明书,截至 2019 年 3 月 31 日,已经招募 275 名患者。临床前研究表明,BAT8001 对 HER2 高表达肿瘤增殖具有显著抑制作用,其体内主要代谢产物 Cys-Batansine 在血浆中的浓度很低,且可被迅速代谢,且在游离状态下较难进入正常细胞,因此毒性较低,安全性较好。预计 BAT8001 将在 2021年完成临床研究总结报告并申报中国 NDA。
荣昌生物的 RC48 则拥有丰富的在研适应症,包括 HER2 阳性的乳腺癌、胃癌、尿路上皮癌和胆道癌,目前均已推进至 2 期临床。2019 年 ASCO 年会上,荣昌生物发布了尿路上皮癌适应症的 II 期临床数据,初步结果显示:在接受 RC48-ADC 治疗的 43 例二线及多线尿路上皮癌受试者中,确证客观缓解率(cORR)高达 51.2%,疾病控制率(DCR)高达 90.7%。
3.3.2、其他靶点的 ADC
国内针对其他靶点、进入临床阶段的 ADC 药物包括美雅珂的 MRG001(抗CD20)和 MAG003(抗 EGFR)、百奥泰的 BAT8003(抗 Trop2)、复旦张江/交联药物的 F0002-ADC(抗 CD30)等,以上四个药物目前均处于 I期临床试验阶段,在未来 HER2-ADC 竞争白热化之后,布局其他的靶点有望提供差异化的竞争优势。
4、投资建议
ADC 类药物将抗体药的高度靶向特异性和小分子毒素的高毒性相结合,实现对肿瘤细胞的精准高效杀伤,有望实现临床优效,已成为抗体药研发的热门方向。但该类药物的研发有同质化倾向,未来实现差异化的竞争优势,需要开发出更多新靶点,或通过寻找新的高效毒性小分子、优化 linker 设计、均一化 DAR 等思路来实现已有靶点的 me-better 或 me-best。推荐国内该领域潜力先锋恒瑞医药、浙江医药。
(报告来源:光大证券)
获取报告请登陆未来智库www.vzkoo.com。
(本文仅供参考,不代表我们的任何投资建议。如需使用相关信息,请参阅报告原文。)
- 医药生物·生物制品行业创新药盘点系列报告(25):IgA肾病药物已进入商业化兑现期.pdf
- 百诚医药公司研究报告:创新药进入收获期,仿制药CROCDMO困境反转.pdf
- 医药生物行业:IBD行业报告(三)——研发路径愈发清晰,中国创新药公司有望深度参与.pdf
- 医药生物行业跟踪周报:两会将创新药列为新兴支柱产业,26年BD出海再提速.pdf
- 医药行业:月度创新药前沿跟踪2026年2月.pdf
- 三生国健研究报告:自免赛道龙头企业,新管线赋能中长期发展.pdf
- 智翔金泰研究报告:聚焦抗体药物研发,单品IL~17A单抗预计即将获批.pdf
- 百利天恒(688506)研究报告:聚焦抗体药物创新,多个First inclass产品未来可期.pdf
- 康方生物(B-9926.HK)研究报告:创新药时代弄潮儿,双抗药物领跑者,丰富研发管线驱动公司业绩持续增长.pdf
- 小核酸药物研发产业研究:从上游解决疾病.pdf
- 相关标签
- 相关专题
- 相关文档
- 相关文章
- 全部热门
- 本年热门
- 本季热门
- 1 医药行业最新研究报告:市场与政策、创新药、医疗器械(77页).pdf
- 2 国内创新药行业发展回顾与2020年展望(294页).pdf
- 3 创新药行业靶点手册.pdf
- 4 恒瑞医药研究报告:创新药迈入收获期,国际化加速前行.pdf
- 5 恒瑞医药研究报告:创新药持续兑现,经营步入新周期.pdf
- 6 生物医药之疫苗行业深度大盘点(161页PPT).pdf
- 7 创新药行业深度报告:中国创新药品种梳理与估值讨论(187页).pdf
- 8 三生制药研究报告:核心品种持续发力,多款创新药进入收获期.pdf
- 9 创新药行业研究:大浪淘沙,迎接多重拐点.pdf
- 10 恒瑞医药156页报告深度解析.pdf
- 1 三生制药研究报告:核心品种持续发力,多款创新药进入收获期.pdf
- 2 全球视野下的中国创新药产业行业:十年回顾与展望.pdf
- 3 键凯科技研究报告:国产PEG龙头,医美+创新药打开新篇章.pdf
- 4 创新药专题报告:IBD市场或将迎来破局者.pdf
- 5 2025年从引进到引领:中国创新药交易十年全景透视报告.pdf
- 6 创新药行业专题研究报告:创新突破,出海拓疆.pdf
- 7 华纳药厂研究报告:主业集采风险逐步落地,抗抑郁创新药濒危药材替代打开想象空间.pdf
- 8 医药行业研究·创新药系列:2025ESMO,中国创新药从“跟随”到“引领”.pdf
- 9 创新药行业深度分析:本土创新药出海、趋势展望、产业链及相关公司深度梳理.pdf
- 10 医药行业创新药系列JPM 2026前瞻:看好中国企业技术突破和国际化机会.pdf
- 1 医药行业创新药系列JPM 2026前瞻:看好中国企业技术突破和国际化机会.pdf
- 2 医药生物行业2026年1月投资策略:继续推荐创新药及产业链.pdf
- 3 医药行业创新药专题:中国声音响彻2026年JPM大会.pdf
- 4 医药行业2026年度策略报告:创新药产业链景气度持续提升.pdf
- 5 2025创新药及供应链行业年度创新白皮书:分化加速,行业回归平台与产品价值.pdf
- 6 医药行业创新药周报:Arrowhead发布INHBE和ALK7 siRNA减脂数据.pdf
- 7 医药行业创新药专题之六——小核酸药物(行业篇):海内外共振风起时,递送技术突破及适应症延伸.pdf
- 8 医药行业2026年投资策略:创新药板块进入精选个股行情,关注出海、脑机接口、AI医疗三大方向.pdf
- 9 医药生物行业2026年度创新药投资策略:新技术全面突破,战略看多中国创新出海.pdf
- 10 医药行业周报(1.26_1.30):创新药BD预期落地,建议关注低位创新药、脑机接口、AI医疗.pdf
- 全部热门
- 本年热门
- 本季热门
- 1 2026年医药生物·生物制品行业创新药盘点系列报告(25):IgA肾病药物已进入商业化兑现期
- 2 2026年百诚医药公司研究报告:创新药进入收获期,仿制药CROCDMO困境反转
- 3 2026年医药生物行业:IBD行业报告(三)——研发路径愈发清晰,中国创新药公司有望深度参与
- 4 2026年第10周医药生物行业跟踪周报:两会将创新药列为新兴支柱产业,26年BD出海再提速
- 5 2026年医药行业:月度创新药前沿跟踪2026年2月
- 6 2026年第7周医药生物行业跟踪周报:FDA创新药审评政策再松绑,利好创新药板块
- 7 2026年基金经理及产品研究系列:东吴基金刘瑞,成长风格占优趋势延续,关注AI与创新药投资机会
- 8 2026年第6周医药行业周报:持续关注低位创新药、脑机接口、AI医疗
- 9 2026年医药行业创新药专题:中国声音响彻2026年JPM大会
- 10 2026年医药行业第9期:AlphaGenome首次揭开基因“暗物质”;中美创新药,监管比拼“全球首发”
- 1 2026年医药生物·生物制品行业创新药盘点系列报告(25):IgA肾病药物已进入商业化兑现期
- 2 2026年百诚医药公司研究报告:创新药进入收获期,仿制药CROCDMO困境反转
- 3 2026年医药生物行业:IBD行业报告(三)——研发路径愈发清晰,中国创新药公司有望深度参与
- 4 2026年第10周医药生物行业跟踪周报:两会将创新药列为新兴支柱产业,26年BD出海再提速
- 5 2026年医药行业:月度创新药前沿跟踪2026年2月
- 6 2026年第7周医药生物行业跟踪周报:FDA创新药审评政策再松绑,利好创新药板块
- 7 2026年基金经理及产品研究系列:东吴基金刘瑞,成长风格占优趋势延续,关注AI与创新药投资机会
- 8 2026年第6周医药行业周报:持续关注低位创新药、脑机接口、AI医疗
- 9 2026年医药行业创新药专题:中国声音响彻2026年JPM大会
- 10 2026年医药行业第9期:AlphaGenome首次揭开基因“暗物质”;中美创新药,监管比拼“全球首发”
- 1 2026年医药生物·生物制品行业创新药盘点系列报告(25):IgA肾病药物已进入商业化兑现期
- 2 2026年百诚医药公司研究报告:创新药进入收获期,仿制药CROCDMO困境反转
- 3 2026年医药生物行业:IBD行业报告(三)——研发路径愈发清晰,中国创新药公司有望深度参与
- 4 2026年第10周医药生物行业跟踪周报:两会将创新药列为新兴支柱产业,26年BD出海再提速
- 5 2026年医药行业:月度创新药前沿跟踪2026年2月
- 6 2026年第7周医药生物行业跟踪周报:FDA创新药审评政策再松绑,利好创新药板块
- 7 2026年基金经理及产品研究系列:东吴基金刘瑞,成长风格占优趋势延续,关注AI与创新药投资机会
- 8 2026年第6周医药行业周报:持续关注低位创新药、脑机接口、AI医疗
- 9 2026年医药行业创新药专题:中国声音响彻2026年JPM大会
- 10 2026年医药行业第9期:AlphaGenome首次揭开基因“暗物质”;中美创新药,监管比拼“全球首发”
- 最新文档
- 最新精读
- 1 聚焦中国互联网行业:超大盘股四季度业绩展望;关注重点围绕AI智能体OpenClaw、云定价及资本支出(摘要).pdf
- 2 亚太能源行业:上调中国几大石油公司目标价;买入中海油(成本地位领先)、中石油(长期盈亏平衡点下降);调整覆盖范围(摘要).pdf
- 3 政策双周报:“十五五”开局之年,稳总量、优结构.pdf
- 4 中国乘用车行业月度图评:2026年2月_春节期间零售销量疲软符合预期,价格竞争企稳.pdf
- 5 纺织服装行业周报:推荐关注中游困境反转机会.pdf
- 6 易观GEO行业市场分析报告2026.pdf
- 7 源网荷储同类项目投资路径与风险解析.pdf
- 8 正泰安能:向设计要效益:AI自动化设计的实践与回报.pdf
- 9 中国汽车:海外新能源车机遇和可能带来的风险(摘要).pdf
- 10 中国温泉旅游:2025年中国温泉旅游行业发展报告.pdf
- 1 2026年中国医药行业:全球减重药物市场,千亿蓝海与创新迭代
- 2 2026年银行自营投资手册(三):流动性监管指标对银行投资行为的影响(上)
- 3 2026年香港房地产行业跟踪报告:如何看待本轮香港楼市复苏的本质?
- 4 2026年投资银行业与经纪业行业:复盘投融资平衡周期,如何看待本轮“慢牛”的持续性?
- 5 2026年电子设备、仪器和元件行业“智存新纪元”系列之一:CXL,互联筑池化,破局内存墙
- 6 2026年银行业上市银行Q1及全年业绩展望:业绩弹性释放,关注负债成本优化和中收潜力
- 7 2026年区域经济系列专题研究报告:“都”与“城”相融、疏解与协同并举——现代化首都都市圈空间协同规划详解
- 8 2026年历史6轮油价上行周期对当下交易的启示
- 9 2026年国防军工行业:商业航天革命先驱Starlink深度解析
- 10 2026年创新引领,AI赋能:把握科技产业升级下的投资机会
