5G专题报告:从ROE视角看5G网络产业链
- 来源:未来智库
- 发布时间:2020/05/29
- 浏览次数:862
- 举报
1. 5G 行情复盘与分析
19 年被业界认为是 5G 网络元年,从 19 年初至 20 年 5 月 22 日,中证 5G 通信主题指数 上涨 39.75%,而同期上证指数上涨 11.89%,深证成指上涨 45.58%,沪深 300 上涨 25.96%。 5G 通信指数显著跑赢上证指数和沪深 300 指数,但考虑到指数成分大多为深股,5G 通信指数 涨幅跑输深证成指,超额收益有限。
19 年年初 5G 主题概念得到高热度炒作,但在 19 年 6 月份工信部正式发放 5G 商用牌照 后,市场经历了一段对于 5G 建设进度预期、应用场景、运营商投资规模、变现模式的犹豫期。 随着电信联通宣布 5G 网络共建共享提速 5G 建设;华为中兴在全球 5G 市场占据主导地位;下 游 5G 手机顺利推入市场;各垂直行业对于 5G 未来的应用场景逐步清晰,市场对于 5G 的预期 和信心进一步提高,行情开始逐步回暖。进入 2020 年,5G 网络进入高速建设期,5G 板块从 概念投资彻底转向业绩、技术、政策驱动的价值投资。即使国内突如其来的新冠疫情对 5G 建 设进度造成了些许影响,但随着疫情形势不断好转以及国家新基建政策的反复提出,5G 基建 被视为提振疫后经济的主要驱动力,使得 5G 板块在 2-3 月份迎来一波高增长行情。而后,海 外疫情的爆发又给 A 股 5G 板块带来了诸多不确定性:1)海外上游通信设备商供应受阻,给 国内相关下游公司带来供应链压力;2)海外订单占比较大的公司业绩受影响较大;3)疫情使 得全球化情势更加复杂,华为中兴全球范围内的 5G 布局不确定性增加。
回溯 4G 时代,2013 年 12 月工信部向三大运营商颁发 4G 牌照,4G 时代正式开启。我们 取 4G 牌照正式发放前半年——2013 年 6 月到 4G 基本普及的 2015 年底的时间段。这段时间万得 4G 指数上涨 291.86%,同期上证指数上涨 60.08%,深证成指上涨 44.52%,沪深 300 上涨 50.19%,4G 指数显著跑赢大盘,其中 15 年 6 月 4G 指数超额收益达到峰值,这与 4G 基站的普及速率基本重合。根据工信部数据,2015 年 1-6 月,随着 4G 业务加快发展,基础 电信企业加大了移动通信网络建设,新增移动通信基站 51.2 万个,总数达 390.9 万个,其中 3G/4G 基站总数达到 258.5 万个,同比提升 119.44%,占比提升至 66.1%。
对比 4G 时期的行情表现,虽然 5G 概念已经经历了几次波段式上涨行情,但超额收益较 4G 时代仍然有限,我们认为 5G 行情还未完全释放。由于 5G 投资规模之大,以及网络制式向 上升级的边际效应递减,使得 5G 相关应用场景落地和整个社会经济受益于 5G 网络的时间跨度都将拉长。现阶段全球经济政治环境因新冠疫情愈加复杂,美国对华为、中兴采取的一系列制裁使得 5G 行情反复遭遇阻力。然而,我们仍然认为,5G 行情现阶段虽受到一些不确定性因素影响,但它的价值对于整个社会经济尤其是中国现阶段新兴科技产业是颠覆性的,继续坚定看好 5G 的长期投资价值。
2. 5G 网络产业链 ROE 分析
2.1. 子行业 ROE 对比
ROE 一直被认为是分析公司盈利能力和投资价值最核心的指标,站在 2020 年这个 5G 网 络全面建设第一年的时间节点分析行业公司在 4G 周期(2013-2018)以及 5G 元年(2019 年) ROE 显得更有借鉴意义。
5G 产业的生态链庞杂,各子产业虽有紧密的联动与协作,但市场环境、技术路径、上下 游议价能力等方面不尽相同,因此笼统地直接比较5G概念上市公司的核心指标ROE不甚合适。 因此,需要对 5G 产业链进行分拆和聚类,进行子行业间的 ROE 比较以及子行业内个股 ROE 的比较。
5G 产业包括两个大领域——5G 终端和 5G 网络,本篇报告着重分析 5G 网络。从宏观上 来看,5G 网络产业链一共可以分为三个领域,和通信网络架构一一对应,分别是接入网产业链、承载网产业链和核心网产业链,其中,接入网和承载网最值得关注,因为对于 5G 这样的公网来说,需要建设数量和规模非常庞大的基站和光纤通信网络。基站属于接入网,市场份额毫无疑问在 5G 投资中占比最大,也是 5G 网络建设的关键,而光纤通信虽然在接入网、承载网、核心网里都有用到,但主要是用在承载网,承载网产业链也就等同于光通信产业链。因此,我们主要看接入网产业链和承载网产业链,同时,数据中心作为 5G 直接拉动需求的行业以及 新基建的典型也被纳入研究范围。
我们整理了接入网产业链(上游 PCB 暂不研究)、承载网产业链和数据中心的细分行业和 相关上市公司(细分行业间子公司或有重合),通过横向和纵向比较子行业间历史 ROE,试图 找出 5G 产业链中投资回报率较高的细分领域。
从时间维度看,2014 年行业整体平均 ROE 值最高,较 13 年有大幅提升,反映出 4G 网 络制式升级对整个行业盈利能力的改善。随后的 2015 年,行业整体 ROE 虽有下滑,但仍维持 在较高水平,这两年的高 ROE 奠定了 4G 在 14、15 年走出行情的基础。但是在 19 年,行业 整体 ROE 来到近 7 年最低水平,主是因为 19 年是 4G 建设尾声和 5G 网络建设元年,各板块 面对行业的整体升级,业绩还未释放。
横向比较来看,光纤光缆、IDC 和宏基站天线板块过去 7 年的平均 ROE 较高,均超过了 10%。其中,光纤光缆和 IDC 板块的 ROE 表现较为稳定,光纤光缆除去 19 年外均维持在 10% 以上,在 16 和 17 年表现最好,达到 16%左右,而该时间段是 4G 组网的中后期,网络覆盖广 度和深度成为建设重点;到了 19 年 5G 元年,其 ROE 将至 10%以下,这与我们通常认为的光 纤光缆在通信周期受益时序比较延后是相符的。IDC 板块 ROE 从 14 年到 18 年持续下降,19 年反弹,随着 5G 组网规划的明确,云计算、流量的爆发拉动的 IDC 需求确定性较大,使得 IDC 相关上市公司 19 年的盈利能力普遍向好,后续仍可期待 IDC 公司的 ROE 改善。宏基站天线板 块 ROE 在 14 年达到 25%,随后逐年下跌,在 18 年触底反弹至 19 年的 9.91%。天线行业市 场空间弹性较大,在通信周期受益时序比较靠前,但 5G 时期行业格局发生变化,天线将集成 在设备商 AAU 中,不再单独招标,天线厂商与设备商进行有源天线的一体化研发和测试,因 此板块受益时序逻辑可能较 4G 时代有所改变,后续应持续关注。
此外,单从 19 年 ROE 来看,主设备板块表现最好,主要系中兴通讯 19 年 ROE 继 18 年 被制裁之后明显改善。即使主设备板块在过去 7 年 ROE 波动率较大,但通信主设备商是运营 商的直接下游,头部效应明显,在整个 5G 产业链中话语权最强,且 7 年平均 ROE 仅次于上 述三个板块,因此也应给予重点关注。
2.2. 个股 ROE 对比及杜邦分析
即使高 ROE 板块值得重点关注,但由于通信产业链不同子行业间盈利能力和商业模式有 内生性的差异,因此看各个行业内个股 ROE 仍是有必要的。当行业内景气度由一子行业轮动 到另一子行业,例如由宏基站天线转向光模块,就可以去追逐该板块下的优质 ROE 个股。我 们还需要用杜邦分析法将 ROE 拆分为权益乘数*总资产周转率*销售净利率,分别对应公司的杠 杆率、运营能力和盈利能力,以归因公司 ROE 来自于哪个因素,从而判断 ROE 的有效性以及 可持续性。通常认为,销售净利率和总资产周转率高所导致的 ROE 具备优势,其安全性和可 持续性较高,而高权益乘数(也就是高杠杆率)则意味着风险较大。
主设备商板块仅有两家公司(大唐电信因数据缺失未纳入),中兴通讯近 7 年平均 ROE 明 显高于烽火通信且 19 年达到历史高位,虽然其 ROE 波动率较大,但主要是 16 年被美国巨额 罚款以及 18 年受到美国制裁所致。通过拆解 ROE,我们可以看到中兴的高 ROE 主要受权益乘数拉动,公司的杠杆率相较烽火明显偏大,中兴在充分利用着财务杠杆的同时面临着较大财务风险。对比全球主要通信设备商的资产负债率:2019 年中兴资产负债率为 73.12%,华为资 产负债率为 65.6%,爱立信为 70.38%,诺基亚为 60.64%;2020 年一季度中兴资产负债率为 69.79%,,爱立信为 72.94%,诺基亚为 59.74%。通信主设备商的资产负债率普遍较高,但从 历史看中兴的杠杆率仍显著高于同行可比公司,长期偿债能力偏弱。公司在 2020 年一季度进 行了资本结构的优化,使其资产负债率降至 70%以下。产品盈利能力方面,虽然中兴在 16,18 年因制裁影响销售净利率降为负,但 2019 年该指标达到历史最高水平,盈利能力完全恢复。
宏基站天线板块中,飞荣达近 7 年平均 ROE 最高,19 年 ROE 大幅领先同行,且其 ROE 波动性最小。杜邦拆分指标来看,飞荣达的高 ROE 主要受其高净利率拉动,近 7 年销售净利 率均维持在 10%以上,产品竞争优势显著。
宏基站射频滤波器板块中,通宇通信与世嘉科技近7年平均ROE较高, 但ROE波动较大, 高点均在 13-15 年,19 年 ROE 表现一般。武汉凡谷虽平均 ROE 不高,但 18 和 19 年表现较 好,且主要是因为销售净利率有大幅提升。
微基站板块值得关注的个股有限,剑桥科技平均 ROE 最高,但 17-19 有显著下降趋势。 微基站属于 5G 通信周期较后期受益的板块,因此从 ROE 角度我们认为该板块目前不太具备吸 引力。
配套设备板块中,高新兴近 7 年平均 ROE 最高,且主要是由于高销售净利率拉动,但 19 年公司大幅亏损,主要系前期收购的六家标的计提了约 10.70 亿元商誉减值准备,且公司进行 了业务结构调整,主动收缩软件系统及解决方案业务规模,收紧 PPP、BOT 项目,导致毛利 下滑,战略转向车联网与公安执法新业务,需继续关注战略转型后的效果。
光模块板块中,新易盛与天孚通信值得关注,它们的近 7 年平均 ROE 远高于同行可比公 司,且在 19 年 ROE 仍保持在高位。从杜邦拆分指标来看,两者皆是由于优秀的盈利能力拉动, 尤其是天孚通信,平均净利率达到 37.25%。此外,新易盛的运营能力也较为优秀,总资产周 转率在同行业处于前列。
光纤光缆板块中,长飞光纤和亨通光电近 7 年平均 ROE 较高,但波动率较大;中天科技 ROE 平均也有 10%以上水平,且它的 ROE 波动率很小。通过比较三家的杜邦拆分指标,我们 发现长飞光纤的高平均 ROE 主要受其良好的盈利能力拉动,净利率近四年都维持在 10%以上; 而亨通光电则主要因为多年的高杠杆率支撑了它的 ROE;中天科技 ROE 主要受其良好的运营 能力驱动。综合比较看,我们认为在光纤光缆板块中,长飞光纤、中天科技最值得关注。
IDC 板块中,奥飞数据和数据港近 7 年平均 ROE 最高,且奥飞数据在 19 年仍表现最好, 但波动较大。通过杜邦拆分指标来看,奥飞数据的高 ROE 受其运营能力和盈利能力双重驱动, 而数据港的 ROE 主要受其杠杆率和盈利能力驱动,它的运营能力较差,总资产周转率在 6 个 IDC 公司中排名最末。IDC 行业是一个重资产行业,因为需要具备条件的土地、资质、设备才 能进行数据中心建设,因此杠杆率和资产周转率对于 IDC 行业尤为重要。数据港 2019 年的资 产负债率达到 70.51%,远高于同行业公司,再加上总资产周转率较差,所以作为一个重资产 公司其风险较大。此外,光环新网也值得关注,它的 ROE 水平虽处于行业中游,但它的 ROE贡献因子主要是销售净利率, 7 年平均达到了 15.83%,而 杠杆率为同行业可比公司最低。因此, 从 ROE 角度 IDC 行业我们建议关注奥飞数据和光环新网。
综上所述,我们认为的从 ROE 角度值得关注的 5G 网络产业链的公司有:
(1) 主设备:中兴通讯
(2) 宏基站天线:飞荣达
(3) 宏基站滤波器:武汉凡谷
(4) 光模块:新易盛、天孚通信
(5) 光纤光缆:长飞光纤、中天科技
(6) IDC:奥飞数据、光环新网
3. ROE-PB 估值
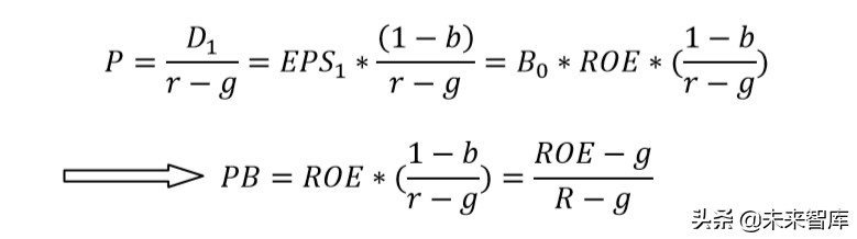
通过 ROE 的分析比对,我们可以看出公司投资回报率、盈利能力、运营能力、杠杆率等一些基本面情况。然而,好的公司从来不直接等于好的股票,还需要看公司的估值水平以判断其是否被低估。ROE -PB 模型一直被市场认为是比较有效且合理的估值方法。根据经典的股利 贴现模型(DDM) ,可以推导出 PB 和 ROE 呈现出线性的正相关关系:
(其中 ROE 净资产增长率,b 为再投资率,EPS1为下一年盈利,r 为风险贴现率,B0为 期初净资产价值。g=ROE×b 为可持续增长率。)
在该模型下,背后的逻辑支撑是:低 ROE 公司的合理估值本身就应该较低;高 ROE 的公司应该享受更高的估值溢价。如果一只股票它的实际估值水平要低于该模型下的“合理估值”,我们就认为它是被低估的,高 ROE 低 PB 组合是该模型下最常使用的投资策略。虽然市场上一 些观点认为高 ROE 低 PB 仅在特定行情下有效(例如大盘股行情),低 ROE 低 PB 在小盘股行 情下也不失为一种有效策略。但是,背后逻辑终归还是基于对未来预期 ROE 的一个判断,即 大盘股稳定性较好,当下的高 ROE 暗涵着未来同样高 ROE 的可能性较大,而小盘股波动性较 大,当下的低 ROE 可能预示着未来的高 ROE。因此,我们还是基于高 ROE 低 PB 的策略, 但是这里的 ROE 应该选取未来的预期 ROE。
我们对 5G 网络产业链里的 35 个公司的 ROE 和 PB 进行了线性回归,ROE 作为自变量, 选取的是过去 7 年的平均(剔除负值)ROE 作为未来预期 ROE;PB 作为因变量,进行了自然对数处理。结果发现,预期 ROE 值与 Ln(PB)在 95%的置信水平下呈显著正相关,图 6 显 示出了回归的拟合方程,我们可以认为,在该虚线下的公司 PB 估值是相对被低估的。如若选 取 ROE 在 10%以上且被低估的公司(红色虚线框标出),我们就得到如表 13 所示的组合。
上述表格中的公司固然可以作为在 ROE-PB 策略方法下的选股组合,但是正如前文所说, 公司的高 ROE 并不一定代表优秀的盈利质量以及可持续性,因此我们认为 ROE-PB 策略结合杜邦分析以及对公司的业务前景分析会更加稳健。在第二部分筛选出的个股中,我们发现有中兴通讯、长飞光纤、中天科技处于被低估区间;同时,奥飞数据、飞荣达、天孚通信、光环新网虽处于拟合方程上方,但相对估值溢价并不大,且正如上文分析他们的 ROE 质量较高,因 此仍然可以放入最终的投资组合。
综上所述,结合 5G 网络产业链公司 ROE 的杜邦分析以及 ROE-PB 策略,我们最终选取 的投资组合为:
(1) 主设备:中兴通讯(000063.SZ,增持)
(2) 宏基站天线:飞荣达(300602.SZ,未评级)
(3) 光模块:天孚通信(300394.SZ,未评级)
(4) 光纤光缆:长飞光纤(601869.SH,未评级)、中天科技(600522.SH,未评级)
(5) IDC:奥飞数据(300738.SZ,未评级)、光环新网(300383.SZ,买入)
4. 投资逻辑与建议
本篇报告我们先复盘了 5G 行情,并与 4G 行情作出比较,发现相较于 4G 远高于大盘的超 额收益,5G 行情相对疲软。主要是因为 5G 投资规模大,时间跨度长,再叠加全球疫情所带来的诸多不确定性,目前整体行情仍未释放,但考虑到目前以信息网络为基础的新基建加速建设以及 5G 所能给整个社会经济所能带来的生产动能,我们认为 5G 行情潜力仍在。
随后,我们对5G网络端的产业链进行了深度拆解,先是对子行业整体的ROE进行了比较, 发现光纤光缆、IDC 和宏基站天线板块过去 7 年 ROE 表现优于其他行业,主设备行业 19 年表现最好,且话语权在产业链中较强,所以也应给予关注(在最终的投资组合中会偏向这些行业) 。然而通信行业较为特殊,各子行业间差异化较大,因此行业间的 ROE 可比性相对偏弱;同时 上下游又联动紧密,子板块较易出现轮动,因此随后我们对每个细分子行业均进行了 ROE 比 较以及杜邦分析,筛选出了 ROE 优质个股。
最后,通过 ROE-PB 模型我们找出了这些优质个股中被低估或者估值溢价不高的标的,形 成了最终基于 ROE 选股的 5G 网络产业链投资组合。
需要阐明的是,基于 ROE 筛选出的投资组合只是本篇报告的目的之一,但更重要的是希望提供一种通信行业的价值投资分析框架以供参考。基于财务数据的基本面分析,需与业务层面分析(包括产业动向、宏观政策、技术路径、市场竞争环境等)相结合,才能发挥出它最大的价值。
……
(报告观点属于原作者,仅供参考。报告来源:中原证券)
如需完整报告请登录【未来智库官网】。
(本文仅供参考,不代表我们的任何投资建议。如需使用相关信息,请参阅报告原文。)
- 新恒泰北交所新股申购报告:功能性发泡材料小巨人,超临界技术绑定新能源+5G赛道.pdf
- 互联网行业:加速菲律宾的5G和5G_Advanced推进,成功路线图.pdf
- 5G环境下供应链金融解决方案.pdf
- 移远通信深度报告:从连接模组到智能生态,领军5G_A与AI时代.pdf
- 新材料产业周报:我国5G用户普及率已达83.9%,NAND价格突破历史新高.pdf
- PB_ROE模型仓位择时与交易策略.pdf
- 专题报告:A股与美股ROE长期对比分析与启示.pdf
- 证券行业券商2026年投资策略:ROE处于上升通道,板块行情虽迟但到.pdf
- 证券行业分析:单季利润同比、环比均高增,龙头券商年化ROE突破两位数.pdf
- 2025年三季报深度分析:两非盈利改善,ROE低位反弹——A股财报深度分析系列.pdf
- 相关文档
- 相关文章
- 全部热门
- 本年热门
- 本季热门
- 1 一文看懂通信新基建:5G、云、车联网、工业互联网、卫星互联网.pdf
- 2 5G大产业机遇深度解析(115页PPT).pdf
- 3 中国“新基建”发展研究报告:156页深度解读.pdf
- 4 硬核电子科技产业研究:半导体、5G、人工智能(111页).pdf
- 5 2020年5G应用未来竞争路线图(148页PPT).pptx
- 6 5G产业深度研究之四大巨头战略布局(83页ppt):华为、中兴、思科、爱立信.pdf
- 7 5G高颜值读本:5G为人工智能和智能制造赋能(98页PPT).pdf
- 8 新基建专题报告:未来发展方向及重点产业分析.pdf
- 9 百页报告深度解读5G行业全景图:5G改变世界,重塑智联未来.pdf
- 10 德勤 5G重塑行业应用.pdf
- 1 中国联通5GAI终端白皮书(2025年度).pdf
- 2 TD产业联盟:全球5G6G产业发展报告(2024-2025).pdf
- 3 5G应用产业方阵创新中心指南(2025年版)-5G应用产业方阵.pdf
- 4 CAICV&GSMA:2025年5G车载应用展望白皮书.pdf
- 5 工业5G终端设备发展报告.pdf
- 6 2025年5G地空通信(ATG)航空互联技术体系白皮书1.0-中国移动.pdf
- 7 TD产业联盟:2025年2季度5G产业和市场发展报告.pdf
- 8 工业互联网联盟2025工业5G终端设备发展报告.pdf
- 9 TD产业联盟:2025年1季度5G产业和市场发展报告.pdf
- 10 《5G_5G-A专网赋能垂直行业及智慧运营案例集》.pdf
- 1 移远通信深度报告:从连接模组到智能生态,领军5G_A与AI时代.pdf
- 2 海希通讯北交所首次覆盖报告:储能新引擎已成型,4GW+5GWh在建产能加速转型.pdf
- 3 5G环境下供应链金融解决方案.pdf
- 4 新材料产业周报:我国5G用户普及率已达83.9%,NAND价格突破历史新高.pdf
- 5 互联网行业:加速菲律宾的5G和5G_Advanced推进,成功路线图.pdf
- 6 新恒泰北交所新股申购报告:功能性发泡材料小巨人,超临界技术绑定新能源+5G赛道.pdf
- 7 证券行业券商2026年投资策略:ROE处于上升通道,板块行情虽迟但到.pdf
- 8 专题报告:A股与美股ROE长期对比分析与启示.pdf
- 9 PB_ROE模型仓位择时与交易策略.pdf
- 全部热门
- 本年热门
- 本季热门
- 1 2026年新恒泰北交所新股申购报告:功能性发泡材料小巨人,超临界技术绑定新能源+5G赛道
- 2 2025年移远通信深度报告:从连接模组到智能生态,领军5G_A与AI时代
- 3 2025年海希通讯北交所首次覆盖报告:储能新引擎已成型,4GW+5GWh在建产能加速转型
- 4 2025年5G车载终端行业分析:全球合规与技术演进双轮驱动
- 5 2025年翱捷科技研究报告:基带芯片稳扎稳打,5G+ASIC开拓新征程
- 6 2025年5G/5G-A专网行业分析:垂直行业数字化转型的核心引擎
- 7 2025年中国5G+工业互联网深度融合分析:确定性网络技术如何重塑智能制造新范式
- 8 2025年5G产业发展分析:全球基站突破657.9万,中国占比超66%
- 9 2025年全球5G/6G通信产业发展分析:中国5G用户突破10亿引领全球市场
- 10 2025年5G产业发展全景分析:全球基站突破677万,中国贡献67%基建力量
- 1 2026年新恒泰北交所新股申购报告:功能性发泡材料小巨人,超临界技术绑定新能源+5G赛道
- 2 2025年移远通信深度报告:从连接模组到智能生态,领军5G_A与AI时代
- 3 2025年海希通讯北交所首次覆盖报告:储能新引擎已成型,4GW+5GWh在建产能加速转型
- 4 2025年5G车载终端行业分析:全球合规与技术演进双轮驱动
- 5 2025年翱捷科技研究报告:基带芯片稳扎稳打,5G+ASIC开拓新征程
- 6 2025年5G/5G-A专网行业分析:垂直行业数字化转型的核心引擎
- 7 2025年中国5G+工业互联网深度融合分析:确定性网络技术如何重塑智能制造新范式
- 8 2025年5G产业发展分析:全球基站突破657.9万,中国占比超66%
- 9 2025年全球5G/6G通信产业发展分析:中国5G用户突破10亿引领全球市场
- 10 2025年5G产业发展全景分析:全球基站突破677万,中国贡献67%基建力量
- 1 2026年新恒泰北交所新股申购报告:功能性发泡材料小巨人,超临界技术绑定新能源+5G赛道
- 2 2025年移远通信深度报告:从连接模组到智能生态,领军5G_A与AI时代
- 3 2025年海希通讯北交所首次覆盖报告:储能新引擎已成型,4GW+5GWh在建产能加速转型
- 4 2025年5G车载终端行业分析:全球合规与技术演进双轮驱动
- 5 2026年长沙银行公司研究报告:资产质量拐点,PB_ROE重估
- 6 2026年PB_ROE模型仓位择时与交易策略
- 7 2026年国信证券公司研究报告:老牌券商启新程,ROE优势有望稳固
- 8 2026年专题报告:A股与美股ROE长期对比分析与启示
- 9 2025年证券行业券商2026年投资策略:ROE处于上升通道,板块行情虽迟但到
- 最新文档
- 最新精读
- 1 2026年中国医药行业:全球减重药物市场,千亿蓝海与创新迭代
- 2 2026年银行自营投资手册(三):流动性监管指标对银行投资行为的影响(上)
- 3 2026年香港房地产行业跟踪报告:如何看待本轮香港楼市复苏的本质?
- 4 2026年投资银行业与经纪业行业:复盘投融资平衡周期,如何看待本轮“慢牛”的持续性?
- 5 2026年电子设备、仪器和元件行业“智存新纪元”系列之一:CXL,互联筑池化,破局内存墙
- 6 2026年银行业上市银行Q1及全年业绩展望:业绩弹性释放,关注负债成本优化和中收潜力
- 7 2026年区域经济系列专题研究报告:“都”与“城”相融、疏解与协同并举——现代化首都都市圈空间协同规划详解
- 8 2026年历史6轮油价上行周期对当下交易的启示
- 9 2026年国防军工行业:商业航天革命先驱Starlink深度解析
- 10 2026年创新引领,AI赋能:把握科技产业升级下的投资机会
