医疗卫生投资报告:政策助力,公共医疗卫生板块成避险优选渠道
- 来源:未来智库
- 发布时间:2020/03/25
- 浏览次数:2439
- 举报
一、短板显著,发展空间巨大
(一)发展现状:需补足短板,调节结构性矛盾
1.总量不足:医疗卫生存在短板,公共卫生保障能力待提升
我国医疗卫生在总量投入上有较大提升空间。卫计委数据显示,2018 年中国人均医疗卫生支出费用为 4237 元,与发达国家相比差距甚远。据 OECD 组织公布的数据,2018 年美国、英国人均医疗卫生费用支出 10586.1、4069.6 美元;日韩的人均医疗卫生支出水平也达到4766.1 和 3191.6 美元的水平。从医疗卫生支出总额占 GDP 的比重来看,2018 年美、英、日、韩的支出占比分别为 16.9%、9.8%、10.9%和 8.1%,而中国 2018 年卫生费用共计支出 59121.90亿元,占 GDP 比重仅为 6.43%。2019 年 2 月 20 日,WHO 发布数据, 2016 年全球医疗费达7.5 万亿美元,约占各国 GDP 的 10%,相比之下我国医疗卫生事业将加快投入,未来发展空间较大。
卫生投入逐年提高,但仍需稳步提高公共医疗卫生保障能力,减轻居民负担。随着基本医疗保险制度的普,居民看病负担得到缓解。据国家卫计委统计,2018 年卫生费用中个人卫生支出占比 28.61%,政府支出占比 27.74%,社会卫生支出占比 43.66%;2017 年日本国民医疗费中,重患者个人承担部分、公共医疗福利部分、医疗保险福利和老人保健福利的占比分别为 12.2%、7.4%、45.8%和 34.3%,美国医疗费用里个人支出的份额为 11%。与发达国家相比,当前我国个人支出的部分负担仍较大,预计未来政府和社会卫生支出部分将不断提高,公共医疗卫生建设将加大投资,减轻居民负担。
2.结构失衡:资源配置不均、结构性矛盾突出
城乡之间医疗卫生资源配置存在结构性矛盾,有待完善。从卫生技术人员分布的相对比例来看, 2018 年城市东、中、西部每千人分别有卫生技术人员 11.5、10.7 和 10 人;而农村分别是 5.1、4.1 和 4.8 人,卫生人力资源的城乡配置差距较大。从主要疾病病死率来看,除恶性肿瘤外,呼吸系统疾病、心脏病、脑血管疾病等高发重大疾病在农村的死亡率都高于城市,应加大对农村重大疾病的防控、防治,例如加大对农村医疗卫生技术人员的支持,加大对农村医疗保险的覆盖范围、及加大农村高端医疗设备的投入等。
(二)资金来源:总量支持可加快部署
从财政支出情况来看,增速上,医疗卫生和计生的财政支出情况与全国财政支出增长速度总体保持一致。受经济增速放缓影响,财政支出增速回落,2017—2018 年医疗与计生领域财政支出同比增速降至 8.12%,远低于 2010 年 20.28%的增长水平,但当前医疗卫生事业存在短板,需财政增量支持,补充发展动力。
权重上,2018 年全国公共财政支出 220904.13 亿元,医疗与计生支出 15623.55 亿元,占全国公共财政支出的比重有所上升,增至 7.07%,比 2003 年的 3.15%的占比有了较大的提升,可见财政对于医疗卫生的支持力度有所上升,政策有所倾斜。美国 2018 邦医疗保险和医疗补助总金额高达 10936.78 亿美元,占联邦财政支出的 26.62%。与发达国家相比,我国对医疗卫生事业的投资有较大的提高空间。
从中央与地方分级情况看,目前,我国地方政府在对医疗卫生事业的财政支持中占绝对主力。2018 年,中央和地方的财政支出分别为 210.65 亿元与 15412.90 亿元。需发挥中央政府在公共医疗卫生领域的积极作用,学习发达国家在医疗卫生财政支出分权机制上的经验,回收部分财权;做好规划指引的同时,合理引导财政资金投放落实。坚持 2018 年《医疗卫生领域中央与地方财政事权和支出责任划分改革方案》提出的“坚持政府主导,适度强化中央权责;通过改革,形成中央领导、权责清晰、依法规范、运转高效的医疗卫生领域中央与地方财政事权和支出责任划分模式”。
(三)政策主线:补充公共卫生短板
1.政策加成,政府主导
医药卫生体制改革包括医疗、医保、医药和公共卫生四个部分,其中公共卫生是当前医疗事业发展中最为薄弱的一环。
医疗基建势头拉动行业增长预期。PPP 项目中医疗卫生项目包括公共卫生机构、医院、社区卫生机构、乡镇卫生所和医疗卫生其他几个细分领域,其中医院项目占绝对地位,以建设类为主。2019 年 PPP 项目投资金额中医疗卫生支出 7848.53 亿元,医院项目的支出为 7181亿元,公共卫生项目的投资额仅为 254.12 亿元。截至 2020 年 1 月,PPP 投资项目中公共卫生机构建设的项目为 18 个,共计投资金额 80.37 亿元,占 PPP 总投资额的 0.046%。医药行业整体占财政支出比重有望提升,医疗基建作为新基建的惠产业,有望以此推动资金落地,公共卫生领域也必将从中受益。同时,各省市积极部署医疗项目投资计划,补充公共卫生短板。
2.补短板,软硬实力需左右开弓
硬实力有待提升,公共卫生基建有望提振预期。从专业机构建设来看 2012 年至 2019年全国专业公共卫生服务的机构数从 12209 增至 17453 所,但远低于 2014 年 33997 所的数量;专业公共卫生机构中疾病预防控制中心的数量从 2012 年 11 月的 3507 所减至 2018 年的 3456所,疾控中心医疗人员不断流失;防疫基础设施建设和防疫人员维护工作未来将不断得以强化,对医疗基建形成利好。
软实力需持续强化。中央全面深化改革委员会第十二次会议指出“要强化公共卫生法治保障,全面提高国家生物安全治理能力”,要“改革完善疾病预防控制体系”。第一,公共卫生专业人才素质需要提升,在培育卫生技术人员的同时要做好管理人员和工勤技能人员的培训。第二,应加快重大公共卫生事件应急管理机制的建设,打通中央与地方传染病信息通报机制。第三,法制上,应对突发公共卫生事件的主要是依照《中华人民共和国传染病防治法》《中华人民共和国突发事件应对法》,公共卫生领域的政策法规亟待尽快更新完善。通过会议内容可见未来在生物安全治理防控领域的投入将加大,利好生物安全以疫苗为代表的疾病防御等领域。
二、公卫建设需加强医疗物资保障动员能力
(一)医护用品生产动员能力是应对突发卫生事件的重中之重
突发公共卫生事件将短期带动低值医用耗材、体外诊断试剂和医用防护用品的需求。突发公共卫生事件一般会导致短期内诊疗次数急剧增加,医疗器械中需求量和诊疗次数密切相关的主要是低值医用耗材和体外诊断试剂,部分同时患有基础疾病或者其他严重并发症的患者的治疗还需要部分高值医用耗材。诊疗次数急剧增加也会带动医用防护用品的需求,尤其是对于较强传染性疾病的诊疗服务,将在短期内耗用更多一次性防护用具。
2018 年中国医疗器械市场规模约为 5304 亿元,其中低值医用耗材占比 12.09%,体外诊断试剂占比 11.39%。2016-2018 年,中国医用低值耗材市场规模增速保持在 20%左右,体外诊断试剂市场规模增速保持在 18.5%左右。
日常的公共卫生建设应注意医用耗材的库存管理。低值医用耗材由于保质期限制,不可能长时间大量囤积。本次疫情面临的基本医疗物资短缺,很大程度上是因为临近春节工厂陆续停工,工人由于疫情交通管制৾无法时复工。建议今后的公共卫生管理应注意停工导致的物资短缺风险,尤其是在重大节假日停工前,号召工厂适当补充医疗物资尤其是一次性医用耗材的库存。
1. 医用耗材中的医护用品最易短缺
低值医用耗材是医疗服务中的刚需,其需求和诊疗服务次数密切相关。常见的低值医用耗材主要包括医用卫生材料敷料类、注射穿刺类、医用高分子材料类、医用消毒类、麻醉耗材类、手术室耗材类、医技耗材类等。医用防护用品中的口罩、手套、防护服等也属于低值医用耗材,不过医用防护服的生产技术含量比普通的低值医用耗材高一些。低值医用耗材在各类疾病的诊疗中都被广泛使用,由于其一次性使用的特点,其需求量基本取决于发生的诊疗次数以及患者的住院时长。同时,由于低值医用耗材花费较低,目前整体上还未受到医保控费措施的限制,其用量基本反映了临床诊疗服务的真实需求量。
口罩、防护服等医护用品短期需求增幅要远超过诊疗服务需求增幅,易产生缺口。由于新冠病毒传染力强,治疗过程的医务人员必须全程佩戴医用防护服,而在平时大部分疾病的诊疗无需佩戴防护服,预计本年度医用防护服全年需求增长幅度要远超诊疗服务需求全年增长幅度。至于口罩需求的增幅更是要远超诊疗服务的增幅,因为不只是医务人员和患者需要佩戴口罩,未患病的广大普通人也急需口罩预防疾病。因此在这种传染性较强的突发疫情中,医用防护用品中需求的增幅要远超诊疗服务需求的增幅。
2. 国家紧急动员生产,解决医护用品缺口压力
经过紧急动员生产,我国医用防护服日产能已达 50 万件,基本满足国内医疗需求。根据工信部副部长王江平在 1 月 26 日国务院新闻办公室举办的新闻发布会上提供的信息,国内总的生产能力每天只有 3 万套。当时各企业还未大规模扩产,因此刨除掉节假日之后,全国扩产前的医用防护服产能约为每年 800 万套。根据 3 月 6 日国新办新闻发布会上工信部副部长王江平提供的信息,防护服日产量已达到 50 万件,全国累计向湖北省调度分配防护服 530 多万件。考虑到湖北现存确诊数量于 2 月 18 日出现拐点,非湖北地区现存确诊数量于 2 月 13日出现拐点,3 月 5 日时的疫情发展阶段应约为全过程的四分之三。根据现存确诊数量变化,预计疫情全程湖北地区防护服需求应为 600 万套左右。根据 3 月 4 日国务院联防联控新闻发布会上工信部消费品工业司副司长曹学军提供的信息,每日协调保障湖北地区的防护服数量达到25 万件。结合防护服目前日产量 50 万件来估算,防护服产能保障湖北和非湖北地区的比例约为 1:1 左右,本次疫情中全国防护服总需求应为 1200 万套左右。本次疫情带来的国内防护服新增需求约为去年产量的 1.5 倍左右,而目前扩产后的日产能已达到去年的 18 倍以上,甚至可以满足部分出口需求。
经过紧急动员生产,我国普通口罩日产能已超过 1 亿只,预计未来可超过 5 亿只,基本可满足国内复工复产需求。据工信部透露,我国扩产前口罩最大日产能约 2000 万只,医用外科口罩日产能是 220 万只,医用 N95 口罩日产能约为 6 万只。据此估算,刨除节假日后我国口罩扩产前总体年产量约为 50 亿只,其中医用外科口罩年产量约 5.5 亿只,N95 口罩年产量约 1500 万只。根据国家发改委提供的数据,截至 2 月 29 日,全国口罩日产量达到 1.16亿只,其中医用 N95 口罩日产量达到 166 万只,有效解决了一线医护人员的防护需要。假设疫情在 4 月底基本消退,预计本次疫情中医护人员 N95 口罩实际耗用量将达到 9000 万只。本次疫情用于医务人员的 N95 口罩新增耗用量约为去年中国 N95 产量的 6 倍,其中两个月高峰期的日均需求不会超过 150 万,当前扩产后的日产量已足够保障需求。按照全国各产业劳动者数量推算,完全复工每日需求普通医用口罩约 5 亿只。假设各行各业 4 月底完全复工,去除疫情初期未被产能满足的需求量,预计本次疫情期间普通口罩实际耗用量约为 200亿只。本次疫情期间耗用的普通口罩约为去年中国普通口罩总产量的 5 倍,考虑到目前产能还在持续扩张,预计可以在各行业完全复工前满足日常需求。
3. IVD 紧急研发和生产能力是疾病筛查的关键
体外诊断试剂(IVD)需求量巨大,在传染病防治中作用尤其重要。本次疫情防控中,要想确定密切接触者是否感染病毒,除了强制隔离两周等待症状,就只能进行分子层面的病毒检测了。由于新冠病毒潜伏期长,潜伏期携带者仍具有传染力,以还有大量无症状或轻症自愈患者,提早筛查无症状的病毒携带者非常重要。在诊断中,也经常出现屡次检测显示阴性的新冠肺炎患者,只能加大检测次数并综合临床表现确诊。随着新冠病毒在多个国家蔓延,入境人员筛查需求也日益增加。考虑到大规模筛查携带者和诊断过程检测多次的需要,试剂盒需求量要远超过患者和疑似患者的数量。根据工信部副部长王江平在 3 月 6 日的国新办新闻发布会上透露的信息,截止 3 月 5 日,全国累计供应核酸检测试剂盒 1575.5 万人份,日产量 34.16万人份,企业库存 200 万人份,完全可满足湖北省和其他地区的检测需求。预计国内疫情全程将耗用试剂盒约 3000 万人份,按照每人份 160 元价格估算,本次疫情新增试剂盒需求规模约 50 亿元。估计 2019 年中国体外诊断市场规模可达 700 亿元,本次新增需求约占全年需求的 7%左右。以上测算未包含出口需求。
新型病毒考验试剂盒研发能力,率先研制成功的公司可获得更大市场份额。截至 3月 16 日,国家药监局共批准新冠病毒核酸检测试剂盒 19 个,其中核酸检测 11 个,抗体检测试剂 8 个。抗体检测相较于核酸检测更为快速便捷,但是检测存在滞后性,难以检测感染病毒但还未产生足够浓度抗体这一阶段的携带者。已获批试剂盒的生产公司中,其自身或其控股股东、重要参股股东已在 A 股上市的一共有 7 家,分别是华大基因、达安基因、万孚生物、迈克生物、阳普医疗、明德生物和丽珠集团。
(二)便携式医疗器械生产需注重全产业链协调能力
红外测温仪和血氧仪等便携式医疗器械生产环节较多,需同时协调产业链上下游才能保障供应能力。感染新冠病毒的患者往往伴随发烧、血样低等症状,相关指标检测仪器需求激增。红外测温仪(体温枪)由于其测温快速的特点,主要用于商场、车站、写字楼等人流密集地点的预防筛查。国家工信部于 2 月 2 日发布的统计数据显示,红外测温仪市场缺口约6 万台,手持式红外测温仪约 55 万台。2019 年中国手持红外测温仪产量约 30 万台,则本次疫情中手持式红外测温仪需求缺口约为去年产量的 183%。值得注意的是,红外体温仪的产量不仅受生产商自身产能和人手不足的制约,还受制于上游产业链的供应缺口。最典型的例子就是红外芯片的缺口,国内三家红外芯片 2018 总年度出货量才约 8.7 万台,国外进口还需半年到货。1 月 30 日,国务院肺炎疫情联防联控工作机制医疗物资保障组特意发布文件,组织红外体温检测仪配套零部件生产企业复工复产,就是意识到了上游产业链配套零部件的重要性。
(三)投资建议
1. 警惕短期炒作风险
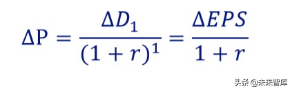
本次疫情带来的防护服新增需求为暂时性的,难改长期基本面。对于防护服等仅在医疗服务中使用的防护用具,本次疫情带来的需求增量是暂时性的,难以改变长期投资逻辑。在股利贴现模型中,这种当期一次性的盈利增长仅会导致当期股利一次性的增加,当期股票内在价值最大增幅约为当期的每股新增盈利的贴现,下期便会回归正常价值。注重长期基本面的价值投资者会尽量回避此类题材。
股利贴现模型:
当 t=1 时,发生一次性冲击使每股盈利增加△EPS。假设一次性的盈利增加全部派发股利,则可得到当前股票内在价值最大增幅:
口罩长期需求有望随群众防护意识提高而永久性提升,长期投资需注意疫情结束后的产能过剩风险。由于疫情期间对哄抬物价打击严厉,预计口罩生产商出厂价格仅能在生产原料成本基础上按照以往比例加成,盈利增加主要来源于放量。不过对于打通了上下游产业链的口罩生产商,则还能同时获取原料涨价环节的利润。对于口罩这种不仅仅用于医疗服务的防护用品,即使疫情结束,其长期需求也有望随着居民防护意识提高而永久性提升。不过需要密切注意的是疫情过后口罩产能过剩风险。无论疫情结束后居民防护意识提升多少,疫情结束后的口罩需求量也不会达到疫情高峰期的口罩需求量。由于口罩生产的门槛不高,在国家号召下,很多主业非相关的企业纷纷积极转产口罩生产,2 月底中国口罩产能已突破每日 1亿只,预计未来有望达到每日 4 亿只。虽然短期口罩需求增幅巨大,但由于很多主业非相关企业积极转产,主业相关企业口罩业务增幅并不会达到整体需求增幅。对于有实力上市 A 股的大公司而言,口罩这种低值产品一般只占主营业务的很小比例,其业绩基本面更多取决于其他业务。近期资金炒作的 A 股口罩概念股,疫情结束后有股价回落的风险。
消毒液需求增长对化工企业业绩影响有限。消毒液主要有含氯消毒液、过氧化物消毒液以含酒精消毒液等,均属于可大规模生产的传统化工制品。一方面,由于消毒液制备门槛较低,且生产的产品都是同质化的,市场上存在大量中小型企业参与者。这导致了消毒液市场格局分散,竞争较为激烈,本次疫情带动的额外需求仅为全市场产能的九牛一毛。另一方面,由于消毒液制备原料大都为化工副产品,化工企业的主要收益并不依靠这些副产品,消毒液需求增长带来的额外利润有限。市面上最常见的含氯消毒液,其制备原料氯气主要是工业制烧碱的副产品。至于广泛用于各种产业的工业酒精,用于医疗的比例也非常小。2018 年中国乙醇产量超过 1300 万吨,但是用于医用 75%酒精的产量远不足 10 万吨。
便携式家用医疗器械短期的需求爆发恐透支中期需求。无论是体温枪还是血氧仪等家用医疗器械,本次疫情带来的需求提振都是暂时性的。此外,对于这些可多次使用、寿命较长的耐用品,短期需求的爆发往往会透支中期需求。对于长期投资者而言,当下并不是好的介入时机。
2. 看好研发能力较强的 A 股 IVD 公司
建议密切关注率先研发出新冠病毒检测试剂的 A 股公司。本次新冠病毒检测试剂需求将在较长时间维持高位,理由如下:(1)需要筛查人数要远超过实际患病人数;(2)国外检测试剂缺口巨大;(3)率先研发出检测试剂的 IVD 公司具有较强的研发能力,具备长期投资价值。截至 3 月 16 日,诊断试剂已获批的生产公司中,相关 A 股上市公司有华大基因、达安基因、万孚生物、迈克生物、阳普医疗、明德生物和丽珠集团。
三、医疗科技
(一)互联网医疗需求激增
1.新冠疫情为医疗 IT 行业带来的最大的边际变化即是互联网医疗需求的激增
互联网医疗平台是指以慢性病和部分常见病复诊和常规咨询为主的,提供诊前咨询挂号、在线复诊、处方流转、药品配送、慢病管理等服务的平台。2018 年起,国务院、国家卫健委陆续出台了《关于促进“互联网+医疗健康”发展的意见》、《互联网医院管理办法(试行)》等政策,允许依托实体医疗机构发展互联网医院,在线开展部分常见病和慢性病复诊,在线开具部分常见病、慢性病处方,对互联网医院建设做出明确的规范和指引。互联网医院按照开设主体划分,可分为第三方互联网平台(须与实体医疗机构合作)开设的互联网医院或实体医疗机构自发搭建。
新冠疫情为医疗 IT 行业带来的最大的边际变化即是互联网医疗需求的激增,尤其是医院端自发的建设需求增量。由于此次疫情传染性强,大量慢性病患者因医院部分科室停诊、医院存在交感染风险等原因无法到医院续方开药,互联网医疗很好地承接了这些需求。我国互联网医疗的发展最早可追溯到 2005 年,至今大约可分为三个发展阶段:第一个阶段2012-2017 年,政策主要围绕医联体、分级诊疗做出了尝试,此阶段涌现了大量的第三方互联网医疗平台,医院端自发动力不大。《互联网医疗行业报告》显示,2012 至 2016 年,我国互联网医疗市场规模保持 38.7%的复合增长率,在此期间,涌现了春雨医生、丁香园、微医等一批互联网医疗公司,阿里、京东、百度等公司也纷纷成立了医疗健康事业部。第二个阶段2018-2019 年,政策明确了要健全互联网医疗体系,并且符合一定条件的“互联网+”医疗服务可以纳入医保报销范围,此阶段大量 3 级医院搭建了自有的互联网医院平台。第三个阶段则是从 2020 年开始,此次疫情使互联网医疗的重要性得以体现,大量 2 级医院成为建设需求增量的主力。据调研了解,大量 2 级医院在此次疫情期间后续都有搭建互联网医院的需求。基于此,2 级医院资源丰富的医疗 IT 提供商将深度受益。
2.互联网医疗的发展将倒逼院内医疗 IT 系统建设的进一步提升
要提供互联网诊疗服务,首要条件是互联网医疗平台能够与医院内的医疗信息系统(如 HIS、EMR)实现互联互通,因此互联网医疗的发展将倒逼院内医疗 IT 系统建设的进一步提升。互联网医疗目前尚处于提供医疗咨询服务的阶段,禁止首诊。国家卫健委在《互联网医院管理办法(试行)》中明确指出,互联网医院不得首诊患者,需要掌握患者病历资料,确定其在实体医疗机构确诊过常见病或慢性病后,才可以进行复诊。因此,要提供互联网诊疗服务,首要条件是互联网医疗平台能够与医院内的医疗信息系统实现互联互通,而大量 2 级医院恰巧在信息系统级别上处于较低级别,因此存在较大的提升空间。其次,互联网医疗平台的诊断业务以运营业务(广告、第三方产品等)也需要依赖政策下一步放开。
电子病历(EMR)升级将继续推进,院内平台互联互通、DRGs、临床业务全流程升级也将是医疗 IT 行业发展趋势。此次疫情也新增了发热门诊管理系统、传染病管理系统的需求。强政策驱动,国内医疗 IT 升级空间广阔。政策端医保控费需求强烈,DRGs 作为一种医保支付方式已在国际上有广泛应用,且医保控费效果良好,目前 DRGs 也是我国医保局重点推进方向之一。DRGs 要求电子病历建设等级至少达到 5 级水平,而目前我国三级医院电子病历平均水平为 2.11 级,二级医院电子病历平均水平为 0.83 级,升级空间巨大。目前行业内订单主要集中在电子病历建设,未来还有院内平台互联互通、DRGs、临床业务全流程升级等。智慧医院方面大数据、物联网项目需求也在逐步释放。
3.A 股相关公司
推荐 A 股公司创业慧康、卫宁健康,建议关注和仁科技。
创业慧康:公司深耕医疗信息化领域 20 余年,拥有深厚的市场积累,尤其在区域公共卫生方面客户资源优势显著,医疗 IT 升级空间巨大。2019 年是公司“中山市区域卫生信息平台建设营运项目”特许经营的第一年,运营取得阶段性成果,异地复制空间大。目前,公司公共卫生项目已经遍全国 340 多个区县,未来可复制“中山模式”的潜在目标较多,市场空间巨大。公司建设互联网医院的客户数量在猛增,区域性的互联网项目也在增加。
卫宁健康:公司在医疗信息化领域客户资源优势显著,订单持续高增长。互联网医疗创新业务深度布局,快速发展。“云药”表现突出,钥世圈持续打造一个融“处方流转、药险联动、B2B 赋能、健康服务”于一体的“药联体”,合作成员逾 7 万家,用户分布于全国 30 个省市区,合作保险公司达 50 余家,管理保费金额超 35 亿元。中长期关注公司创新业务的推进。
和仁科技:公司主要以总包模式为大中型医疗机构提供信息化整体解决方案,同时是区域信息化领域也布局较深。在与国内顶尖大型三甲医院的合作过程中,加强了对医院的医疗信息化需求的把握和对临床业务流程的理解,在临床信息化领域技术储备丰富。公司自主研发的新一代医院信息系统,是国内目前规模最大的基于 HTML5 和云计算技术的新一代医院核心业务系统,支持云部署、集团化医院和医联体的应用。看好公司新一代医院信息系统的技术优势在云计算时代下的延展性。
(二)创新药产业链
创新是医药行业的永恒主题。全球范围来看,医药行业的投资机会紧密围绕创新展开。重磅新药可带来丰厚的经济效益,因此创新药研发对全球医药巨头意义非凡。一方面,我们看好具有持续创新能力的创新药械公司,另一方面,我们看好服务于创新药的 CRO/CDMO 公司凭借创新浪潮中的“卖水者”逻辑保持高速增长。
1. 看好具备持续创新能力的创新药械公司
今年我国有多款创新药获批或报产。在医药创新新时代的大背景下,国内药企的研发创新意识不断加强,同时药品优先审评审批、鼓励药械创新等政策也有效地缩短了创新药的研发上市周期。2018 年我国创新药研发已进入收获期。据我们统计,截至 2020 年 2 月 27 日,国内获批的创新药品种如表 1,其中重磅的品种包括信迪利单抗、特瑞普利单抗、呋喹替尼、吡咯替尼、硫培非格司亭、艾博卫泰、安罗替尼和四价流感疫苗等。同时,我们也梳理了今年报产的创新药,结果如表 2,目前国产 PD-1 单抗获批生产的包括信达生物的信迪利单抗、君实的特瑞普利单抗、百济神州的替雷利珠单抗和恒瑞的卡瑞利珠单抗(适应症为霍奇金淋巴瘤)。其中,恒瑞的卡瑞利珠单抗另有三个适应症处于报产阶段,分别为肝细胞癌、晚期食管鳞癌、晚期或转移性非鳞非小细胞肺癌。
我们认为国内医药创新的大时代已经来临,新药研发的收获期正在到来。创新药投资成为医药投资的重中之重,未来我国有望在全球药物创新中取得一席之地。我们认为具备持续创新性能力的公司具备基业长青气质,值得重点关注。我们看好创新药龙头恒瑞医药(600276.SH)、创新器械龙头乐普医疗(300003.SZ),同时关注贝达药业(300558.SZ)等。
2. 看好服务于创新药的 CRO、CDMO 公司
看好创新服务产业链公司凭借“卖水者”逻辑保持高景气。一方面,目前全球医药研发外包的比例不断加大,并呈现出由发达国家向发展中国家快速转移的趋势。国内 CRO、CDMO 企业将受益于医药研发外包业务的转移趋势。另一方面,近年来,我们观察到产业环境的巨变引领医药行业发展进入创新的新时代:首先,控费与降价的大环境倒逼企业创新。其次,2015 年以来药审改革深度力度空前,意义深远。尤其是 17 年 10 月 8 日中办国办联合发文鼓励药械创新对于我国医药产业创新发展具有里程碑意义;最后,国内创新药的赚钱效应开始凸显。可见前些年制约我国创新药产业发展的因素已被清除,药企研发新药的积极性大幅提升。根据我们的统计,自 2017 年以来我国创新药 IND 数量远高于前些年,保持爆发态势。而在研发成本、专业人才以研发时间的压力之下,药企倾向于以研发外包的形式降低研发成本、提升研发效率。因此我们持续看好 CRO/CDMO 等服务于创新的公司凭借“卖水者”逻辑保持高景气。同时,科创板将进一步引爆医药研发创新浪潮,在研发成本、专业人才以研发时间的压力之下,药企的研发外包需求将进一步加大,我们看好相关标的迎来估值重塑。我们看好凯莱英(002821.SZ),同时关注药明康德(603259.SH)、昭衍新药(603127.SH)和泰格医药(300347.SZ)等。
(三)健康医疗大数据
1.公共卫生信息化建设是实现疫情监控健康医疗大数据的关键
公共卫生信息化的建设内容为区域一体化医院信息、人口健康档案、疫情上报与应急指挥、远程医疗等系统,特征是实现社会医疗保健资源和服务整合,是实现疫情监控及健康医疗大数据的关键。
从过去几年来看,相比于公共卫生,国家投入更侧重于医疗方面,因为公共卫生信息化建设对区域内的医院信息化水平要求较高,并且要求信息能够互联互通,因此相对于院内医疗信息系统的建设要滞后一些。比如要实现人口健康档案管理需要有电子病历为前提。而目前,随着医院信息系统升级的逐步完成,区域医疗信息化建设需求有望大量释放,尤其是在一些医疗信息化程度高的沿海区域。
2.新冠疫情有望推动公共卫生信息化建设的新一轮景气周期
此次疫情中公共卫生系统的响应滞后也反映了其未来几个需要完善的方向。第一,由于现有传染病监测报告系统主要监测的是确诊的传染病诊断而非早期临床症状和表现,在对重大感染性疾病的预警上存在滞后性,因此需要加强大数据的联通整合、挖掘分析和评估使用,建立满足“症状监测”要求的监测预警系统。第二,公共卫生系统需与政府部门建立直报系统,确保政府能在第一时间拿到各省市的汇聚数据。第三,公共卫生系统需与城市其他职能系统对接并产生联动,比如公安、铁路等,使得病人的位置、行为轨迹能够确定。
新冠疫情有望推动公共卫生信息化建设的新一轮景气周期。从历史来看,一次特大疫情的爆发将推动之后几年的公共卫生信息化建设投入。2003 年 SARS 疫情过后,我国在 2004 年启动了《中国公共卫生信息分类与基本数据集标准》和《医院基本数据集标准》的编制工作,开始了第一轮公共卫生信息化建设。
3.A 股相关公司
推荐 A 股公司创业慧康、卫宁健康,建议关注和仁科技。
创业慧康:公司深耕医疗信息化领域 20 余年,拥有深厚的医疗客户资源,尤其在区域公共卫生方面客户资源优势显著,医疗 IT 升级空间巨大。2019 年是公司“中山市区域卫生信息平台建设营运项目”特许经营的第一年,运营取得阶段性成果,异地复制空间大。目前,公司公共卫生项目已经遍全国 340 多个区县,未来可复制“中山模式”的潜在目标较多,市场空间巨大。公司建设互联网医院的客户数量在猛增,区域性的互联网项目也在增加。
卫宁健康:公司在医疗信息化领域客户资源优势显著,订单持续高增长。互联网医疗创新业务深度布局,快速发展。“云药”表现突出,钥世圈持续打造一个融“处方流转、药险联动、B2B 赋能、健康服务”于一体的“药联体”,合作成员逾 7 万家,用户分布于全国 30 个省市区,合作保险公司达 50 余家,管理保费金额超 35 亿元。中长期关注公司创新业务的推进。
和仁科技:公司主要以总包模式为大中型医疗机构提供信息化整体解决方案,同时是区域信息化领域也布局较深。在与国内顶尖大型三甲医院的合作过程中,加强了对医院的医疗信息化需求的把握和对临床业务流程的理解,在临床信息化领域技术储备丰富。公司自主研发的新一代医院信息系统,是国内目前规模最大的基于 HTML5 和云计算技术的新一代医院核心业务系统,支持云部署、集团化医院和医联体的应用。看好公司新一代医院信息系统的技术优势及在云计算时代下的延展性。
(四)高端医疗设备(以体外诊断行业为例)
行业发展持续受到国家政策扶持。2019 年 5 月国务院办公厅印发《深化医药卫生体制改革 2019 年重点工作任务》也提出“加强癌症防治,推进预防筛查和早诊早治”;同年 7 月由国务院牵头、健康中国行动推进委员会发布的《健康中国行动(2019—2030 年)》要求加强癌症、心脑血管疾病、糖尿病等病种的筛查早诊早治,以加强产前筛查和传染病的检测监测,尤其强调提升基层的筛查能力和仪器配置。同时,国家药监局制定并实施了创新医疗器械特别审批程序,加快创新器械的注册速度,尤其利好国产创新医疗器械的获批。
国内 IVD 市场规模增速较快,全球市场占比逐年提升。中国的 IVD 市场虽然起步较晚,但已是全球范围内增速最快的市场之一。根据 Frost & Sullivan 数据,预计到 2019 年,中国 IVD 市场规模可达 103.68 亿美元,同期全球 IVD 市场规模约为 769.40 亿美元。从 2012 至2019 年,中国 IVD 市场的年复合增速高达 19.31%,远高于同期全球市场 8.20%的年复合增速。此外,中国 IVD 市场在全球市场中的占比逐年上升,至 2019 年预计可达 13.47%。
受益于进口替代,高端医院市场有望争取份额。当前高端医院市场仍主要是由进口厂商相对垄断,然而随着技术的进步,国内龙头厂商逐步参与竞争并争取份额。在这一过程中,各级政府的进口替代政策也有所助力:国家卫健委指出“国产医疗器械发展应用对于降低医疗成本、缓解群众看病贵、促进装备产业转型升级具有重要意义。近年来,我委充分发挥政府采购政策导向作用,积极支持国产医疗器械采购。”;宁夏卫健委通知其直属单位、宁夏医科大学总医院等机构在政府采购医疗设备试剂耗材过程中应优先采购国产,确需采购进口的需实施审核管理;此外苏州、天津等地也有类似规定。
分级诊疗等强基层政策引导下,中低端医院市场有望持续实现放量。促进分级诊疗、保基本、强基层是新医改的重点内容,也是每年政府重点工作任务所必提的,在此无需赘述。分级诊疗有利于中低端医院诊断检验类市场的扩容,国产品牌性价比优势得以发挥。2018 年卫健委引发《全面提升县级医院综合能力工作方案(2018-2020 年)》,明确提出“重点加强病理科、医学检验科(临床体液、血液,临床微生物学,临床化学检验,临床免疫、血清学,分子生物学等专业组)、医学影像科等学科建设,提升疑难、急危重症疾病诊断、治疗能力。依托县级公立医院建立医学影像诊断、检查检验、病理诊断等中心,推进县域内检查检验结果互认。”并要求到 2020 年,500 家县医院(包括部分贫困县县医院)和县中医医院分别达到“三级医院”和“三级中医医院”服务能力要求。力争使我国 90%的县医院、县中医院分别达到县医院、县中医院医疗服务能力基本标准要求。考虑到分级诊疗的实施之路任重道远,我们认为国内 IVD 企业在基层\中低端市场放量过程将持续较长。
短期内不受负面政策影响。近年来医保控费力度大,医药行业各个领域均有所波动,但IVD 领域尚没有全国性的集采降价方案出现,且受益于控制药占比等措施。当前我国国产体外诊断市场仍处于高度分散状态,行业集中度低。我们认为 IVD 领域快速增长的龙头及边际有所改善且相对低估的个股值得关注,我们看好安图生物(603658.SH);建议关注万孚生物(300482.SZ)、迪瑞医疗(300396.SZ)、凯普生物(300639.SZ)和九强生物(300406.SZ)。
四、基本医疗保险面临改革,商业健康险重要性提升
(一)基本医疗保险覆盖范围广泛,支出负担持续加重
我国的基本医疗保险是社会保险的核心险种之一,按覆盖对象分为城镇职工基本医疗保险,城镇居民基本医疗保险,新型农村合作医疗三类。其中,城镇职工医保由个人与单位共同缴纳,覆盖包括企业(国有、集体、外商投资、私营等)、机关、事业单位、社会团体、民办非企业单位在内的职工;城镇居民医保和新农合主要覆盖除职工基本医疗保险应参保人员以外的其他所有城乡居民,采取个人缴纳加政府补助相结合的形式。
当前我国的基本医疗保险已基本实现全面覆盖,但社保负担却在不断加重,叠加保障范围受到限制,难以全面满足居民的医疗健康需求。截至 2019 年 11 月末,我国的基本医疗保险参保人数达 13.52 亿人,占总人口比重超过 96%。然而,近年来医保基金支出力度加大,社保负担持续加重。2018 年我国基本医疗保险基金支出增速已经超过收入增速,2019 年两者的差距进一步扩大,加剧社保支出压力。2019 年 1-11 月,全国基本医保基金收入 2.21 万亿元,同比增长 22.22%,而基本医保基金支出达 1.87 万亿元,同比增长 26.60%。此外,基本医疗保险受到医保目录和报销比例的限制,对重大疾病的保障力度十分有限,难以有效覆盖居民日益增长的医疗健康需求。尽管受益于近年来的医改,卫生费用中的个人卫生支出占比有所下降,但依旧高于发达国家水平,个人医疗负担居高不下。截至 2018 年末,我国卫生费用中个人支出占比为 28.61%。相比之下,美国与日本个人医疗负担占比均低至 12%左右。
(二)商业健康险快速发展,成为基本医疗保险的有效补充
近年来,以医疗险、重疾险为代表的商业健康险需求扩容,保费规模与占比快速增长,逐步成为基本医疗保险的有效补充。2019 年,保险行业累计实现健康险保费收入 7066 亿元,较2018 年增长 29.70%;健康险占人身险保费的比重 22.80%,较 2018 年提升 2.8 个百分点。受到重疾率上升、监管政策引导和风险保障意识提升等多重因素的影响,健康险发展前景广阔,在我国居民医疗保障体系中的地位有望持续提升。
1.重疾发病率和死亡率上升,催生商业健康险需求
当前我国居民的重疾发病率和死亡率逐年增长,医疗支出预计会进一步增长,催生商业健康险需求。2015 年,我国居民恶性肿瘤发病人数 392.9 万人,发病率 0.29%,延续了 2011 年以来的持续增长态势;截至 2015 年,我国农村居民心血管疾病死亡率 0.30%,城市居民心血管疾病死亡率 0.27%,亦是持续增长。
2.监管层引导险企保障型业务转型,风险保障类产品业务空间扩容
保险业监管延续“回归价值、回归保障”的政策导向,持续引导险企业务转型,保障型产品业务空间有望持续扩容。具体来看,银保监会发布《关于促进社会服务领域商业保险发展的意见》,明确到 2025 年商业健康保险市场规模超过 2 万亿元、养老保险责任准备金不低于 6万亿元的目标,健康险、养老险空间扩容;《普通型人身保险精算规定》,调整健康保险、意外伤害保险、定期寿险、终身寿险最低现金价值参数,推动产品价格下降,促进风险保障类产品发展;《关于强化人身保险精算监管有关事项的通知》,强化法定责任准备金监管,规范分红险利益演示机制,进一步加强险企风险防控,同时防范销售误导和恶性竞争,保护消费者的合法权益;《关于进一步规范健康保障委托管理业务有关事项的通知》,重塑健康保障委托管理业务监管框架,回归业务本源,补齐监管短板,防范潜在风险。
3.居民风险保障意识增强,为商业医疗险、重疾险发展提供动力
居民保障意识持续增强刺激保险消费需求。依据中国太保和普华永道联合发布的《中国保险消费者白皮书(2018 版)》,2010-2017 年,我国保险业人均保费和保单数量增速分别为18%和 47%,持有多张保单的消费者比重逾六成。保险消费力度加大预计与居民保障意识增强有关。2019 年末至 2020 年初新冠疫情爆发,保险业加大了对疫情防控的支持力度,包括开辟理赔绿色通道、延期收取保费以向医护、疾控等一线工作人员赠送保险等。截至 2020 年 2月 27 日,保险机构为抗疫一线捐赠保险保额已经超过 15.7 万亿元,新冠肺炎疫情专项赔付目前已经超过 7600 万元。依据 SARS 经验,疫情有望进一步刺激居民风险保障意识提升,疫情结束后重疾险、医疗险等产品需求将会提振,持续为寿险业保障型产品的发展提供动力。
(三)医保改革意见助力基本医疗保险保障力度提升,商业健康险面临较大发展机遇
2020 年 3 月 5 日,中共中央、国务院发布《关于深化医疗保障制度改革的意见》,研究提出了“1+4+2”的总体改革框架。其中,“1”是力争到 2030 年,全面建成以基本医疗保险为主体,医疗救助为托底,补充医疗保险、商业健康保险、慈善捐赠、医疗互助共同发展的多层次医疗保障制度体系。“4”是健全待遇保障、筹资运行、医保支付、基金监管四个机制。“2”是完善医药服务供给和医疗保障服务两个支撑。
《意见》出台有利于提升基本医疗保险保障力度,着力解决医疗保障领域发展不平衡、不充分的问题,缓解居民“看病难、看病贵”困难,同时也会促进商业健康险的发展。具体来看,待遇保障机制完善有助于持续加大基本医保覆盖力度,建立健全门诊共济保障机制,增强医疗救助托底保障,促进各类医疗保障互补衔接;健全筹资运行和医保支付机制对于促进医保基金稳健运行,强化风险防控,提升基金使用效率,保障群众获得优质医药服务具有重要意义;此外,《意见》还总结新冠肺炎疫情期间医疗保障实践做法,就完善重大疫情医疗救治费用保障机制专门提出了制度性安排,明确“先救治,后收费”的原则,有效强化突发疫情下的应对能力和保障水平。商业健康险作为多层次医疗保障制度体系的重要一环,有望受益医保制度改革实现快速发展,与基本医疗保险、大病保险与医疗救助有效互补,满足群众多元化的保障需求。
五、生物安全
(一)疫苗行业分析
疫苗行业是我国生物科技领域最具发展潜力的高新技术产业之一,行业增速稳健。疫苗行业是生物制品行业下的子版块,是我国生物科技领域最具发展潜力的高新技术产业之一,因此也是国家重点扶持的行业。疫苗行业增速稳健,根据 Evaluate Pharma 估计,全球疫苗行业市场规模 2016 年已达 275 亿美元,位居医药行业第五位,预计到 2022 年销售额可达 353亿美元,年复合增长率可达 4.2%。根据前瞻产业研究院估计,国内疫苗市场规模在 2018 年达到 286 亿元,比上年略有下降,推测下降原因可能系受到长生事件的负面影响,但批签发量继2016 年受到山东疫苗事件影响下降以来持续回升,2018 年已达 6.13 亿支。我国疫苗市场目前已进入大品种集中获批和放量阶段,AC-Hib 三联苗、HPV 疫苗、EV71 疫苗、百白破 Hib 四联苗等陆续进入销售放量期,未来几年内市场规模预计将稳定增长。
疫苗行业集中度高,竞争格局优化。基于准入限制和规模效益,国内外疫苗市场均呈现行业集中度高、竞争格局优化的特点。国际市场方面,据 Evaluate Pharma 估计,葛兰素史克、默多克、辉瑞和赛诺菲等四家公司 2016 年的销售额市占率达到 89.3%,预计 2022 年略有下降,但仍将达到 85.4%。国内市场方面,根据中检院数据统计,2018 年以 2019 年第一季度国内具有批签发记录的疫苗企业数量分别只有 39 家(外资 4 家、本土 35 家)和 29 家(外资 4 家、本土 25 家),在监管加强的大背景下批签发企业数量呈现减少的趋势,预计行业集中度将进一步增加。
受益于行业集中度提高与大品种放量,疫苗行业 2018 年收入端与利润端均实现高速增长。通过选取 A 股疫苗行业五家龙头企业(智飞生物、长春高新、华兰生物、康泰生物、沃森生物)考察疫苗行业收入端与利润端情况,我们发现,虽然 2016 年收到山东疫苗事件影响,行业收入端增速下滑至低谷(6.21%),但随后两年迅速回升,2018 年实现营收 167.16亿元,同比增长 73.36%,利润端方面,2015 年净利润增速为负主要是受到沃森生物对赌协议失败影响,2018 年净利润达 56.22 亿元,同比增长 208.90%。我们认为,2018 年疫苗行业高速增长的原因主要系,一方面受负面事件影响之后,监管政策趋严,行业内优胜劣汰,集中度提升,助力龙头企业发展;另一方面,行业自身处于大品种放量阶段,且受益于政策扶持下沉市场放量,疫苗行业实现收入端与利润端双重高增长。
(二)行业政策事件对公司的影响
国内疫苗行业正在进入“强监管”时代。2016 年,山东疫苗事件爆发后,国务院于 4月 13 日通过修订《疫苗流通和预防接种管理条例》的决定,将第二类疫苗的流通改为“一票制”(取消疫苗批发企业经营疫苗的环节)、完善疫苗运输管理制度、加大问责力度等。2019年 6 月 29 日,全国人大常委会৾通过了《中华人民共和国疫苗管理法》,严格行业准入、优化产业结构、鼓励创新研发、增大处罚力度。在“强监管”的大背景下,行业的竞争格局进一步优化,呈现大企业差异化竞争的局面。公司目前已经上市在售的产品有 4 种(乙肝、Hib、四联苗、麻风二联苗),PPSV23 已报中检院批签发,产品线丰富程度居于行业领先地位,且始终将产品质量放在首位,具有完善的质量控制体系,预计将能很好地应对强监管时代,受益于行业集中度的进一步提升。
国家对疫苗行业的重视程度和扶持力度逐渐加大。2019 年 7 月 15 日,国务院出台《国务院关于实施健康中国行动的意见》,明确提出了以坚持预防为主、从“治已病”到“治未病”的指导方针,并在此基础上提出了到 2022 年和 2030 年,以乡(镇、街道)为单位,适龄儿童免疫规划疫苗接种率保持在 90%以上等具体指标。中央旗帜鲜明地将生命安全和生物安全领域的重大科技成果,摆在了国之重器的高度,并将疫病防控和公共卫生应急体系上升为国家战略体系的重要组成部分,对有力推进疫苗行业的技术创新,做好疫病防控等具有重要战略意义。
六、公共卫生环境治理
(一)环卫行业支撑疫情防控,需求持续旺盛
1.环卫行业是疫情防控的重要环节
环卫行业是环境卫生管理行业的简称,位于整条固废产业链的中间环节,承担着城市公共区域的清扫保洁、生活垃圾的收集转运处理、垃圾初步分类、城市公厕的运营维护、粪便收集处理等工作,是营造居民良好生活环境的基础。
环卫工作是疫情防控的重要环节。根据住房和城乡建设部发布的信息,新冠肺炎疫情防控期间,我国城市环卫行业在岗率超过 90%,城市环卫部门承担了大量日常作业以外的应急和兜底任务,以部分城市全城消毒杀菌工作,作业量较平时至少增加一倍以上。此外,医疗机构、集中隔离点和居家隔离点产生的生活垃圾量增幅较大,清运和处置要求相应提高。环卫工作成为疫情防控的重要环节。
2.环卫市场服务需求持续旺盛
2018 年,我国城市生活垃圾清运量为 22,802 万吨,年复合增长率 3.78%,城市生活垃圾清运量稳定增长。从 2011-2017 年,我国县城生活垃圾清运量在 6600-6900 万吨之间浮动。随着市政环卫行业的市场需求不断增加,行业投入规模也逐渐扩大。市政环卫行业的重要固定资产投入为市容环卫专用车辆设备。2018 年我国城市市容环卫专用车辆 252,484 台,年复合增长率 12.23%;2017 年县城市容环卫专用车辆 54,575 台,年符合增长率为 9.98%,环卫专用车辆也呈现持续增长态势。
在市政环卫行业快速增长的同时,各地政府关于市政环卫的财政投入力度逐年加大。城乡社区环境卫生支出主要用于城乡社区道路清扫、垃圾清运与处理、园林绿化、公厕建设等方面的支出。2018 年,全国的城乡社区环境卫生公共财政支出为 2,577 亿元,年复合增长率为 16.45%。
3.智慧环卫是行业的发展方向
所谓智慧环卫,是指依托物联网技术与移动互联网技术,对环卫管理所涉到的人、车、 物、事进行全过程实时管理,合理设计规划环卫管理模式,提升环卫作业质量,降低环卫运营 成本,用数字评估和推动垃圾分类管理实效的新型环卫模式。智慧环卫所有服务部署在智慧城 市管理云端,对接智慧城市网络,以云服务方式随时为管理者作业人员提供所需的服务
智慧环卫包括环卫装备智能化和管理系统智慧化。一方面环卫装备与互联网、人工智 能等相结合,推动行业技术变革,同时也可以大幅削减成本;另一方面智慧化管理系统改变传 统环卫组织架构管理模式,采用物联网、云计算、大数据、移动互联网、空间地理信息集成等 新一代信息技术,把各种硬件设备应用到环卫管控对象中,通过环卫云技术将环卫领域物联网 整合起来。同时借助移动互联网技术,将人类社会与环卫业务系统紧密联系起来,以更加精细 和智能的方式实现环境管理和决策的智慧化。
智慧环卫可通过实时监控、远程控制、路径优化提高环卫作业效率,降低管理成本,提高环卫服务的整体经济效益,在持续的运作过程中将积累的数据与智慧交通、智慧水务等其他市政领域的数据进行共享互补,推动智慧城市的建设。
4.投资机会
短期来看,新冠疫情期间公共环境消毒带动环卫装备与环卫服务需求不断提升;长期来看,环卫行业目前处于市场化转型当中,行业竞争进一步加剧,行业龙头有望凭借较强的综合实力收获更多市场份额。建议关注新能源、智能化环卫装备龙头盈峰环境(000967.SZ);环卫运营经营丰富的侨银环保(002973.SZ)、玉禾田(300815.SZ);坚持“环卫装备制造+环卫服务运营”协同发展的龙马环卫(603686.SH)。
(二)医疗废物处理技术成熟,集中处理设施成为未来建设重点
1.城市医疗废物处置能力基本满足要求
新冠疫情发生以来,医疗废弃物处理受到多方关注。医疗废物具有空间污染、急性传染和潜伏性传染等特征,其病毒菌的危害是城市生活垃圾的几十倍甚至上百倍,若管理不严或处置不当,医疗废物极易造成对水体、土壤和空气的污染,极易成为传播病毒的源头,并造成疫情的扩散。
当前处置能力基本满足医疗废物处置的需要。根据生态环境部发布的信息,截至 2020年 3 月 10 日,全国 358 个城市共有医疗废物集中处置单位 487 家,实际处置能力为 6022.0 吨/天,较 1 月 20 日前的 4902.8 吨/天增加应急处置能力 1119.2 吨/天,增加了 23%,累计处理医疗废物 14.2 万吨。疫情发生以来,全国的医疗废物收集量呈增加趋势,集中处置设施负荷率保持在 50%左右,总体上处置能力能满足医疗废物处置的需要。
医疗废物处理能力持续增长。医疗废物属于危险废物,处置医疗废物需要申请领取危险废物经营许可证。根据生态环境部统计数据,截至 2018 年,全国各省(区、市)共颁发 407份危险废物经营许可证用于处置医疗废物,其中 383 份为单独处置医疗废物设施,24 份为同时处置危险废物和医疗废物设施。其中,贵州、四川、河南三省颁发医疗废物经营许可证数量最多,贵州省 26 份,四川省 26 份,河南省 25 份。随着颁发医疗废物许可证数量地不断增长,全国医疗废物经营单位实际处置量也在同步增长。
2.医疗废弃物处理技术成熟,未来需加快行业规范化发展
医疗废弃物可以根据其存在形式分为医疗废水和医疗废物。对于一般的医疗废水,可以参考 GB18466《医院机构水污染物排放标准》和 HJ2029-2013《医院废水处理工程技术规范》进行设定。与常规医疗废水相比,病毒废水主要是含有高致病性、高传染度的病毒病菌,同时废水中也含有较多的抗生素物质。此类废水需要先单独预处理,主要是用二级处理+深度处理+消毒处理的方法将水中的传染性病毒和其他病毒杀灭。在处理过程中,尽可能采用全密封、出水高标准的工艺,如膜处理、氯化物和臭氧多级消毒等,污泥和医疗废弃物尽可能采用小型焚烧炉处理。
医疗废物处置方法则相对复杂,根据《医疗废物分类目录》,医疗废物可分为感染性废物、病理性废物、损伤性废物、药物性废物、化学性废物五类。医护人员在丢弃时按照以上分类进行投放,在医院的暂存站内进行初步消毒,然后再根据就近集中处置的原则,时将医疗废物交由处置单位处置。
用于处理医疗垃圾已有多种技术,根据处理原理不同,一般可分为灭菌消毒法、焚烧法、等离子体法、热解法和卫生填埋法等。目前国际上应用的较多医疗废物处理方法中首推高温焚烧处理法,其原因是这种技术是一个深度氧化的化学过程,在高温火焰作用下,焚烧设备内的医疗垃圾经过烘干、引燃、焚烧三个阶段将其转化成残渣和气体,病原微生物和有害物质在焚烧过程中也因高温而被有效破坏,还能有效实现减容和减重。具有适应范围广、处理后的废物难以辨认、消毒杀菌彻底、有关标准规范齐全、技术成熟等多方面优点,多年来在国际上得到了广泛应用。
3.医疗废物收转运体系建设是未来的工作重点
2020 年 2 月 26 日,国家卫生健康委、生态环境部、国家发展改革委等十部门印发《医疗机构废弃物综合治理工作方案》,要求加强集中处理设施建设,在 2020 年底前实现每个地级以上城市至少建成 1 个符合运行要求的医疗废物集中处理设施;到 2022 年 6 月底前,实现每个县(市)都建成医疗废物收集转运处理体系。随着我国对医疗废物管理日益重视,医疗废物市场规模不断扩大。
根据国家统计局公布的数据,2018 年我国卫生机构床位数共计 840.41 万张,当年病床使用率为 78.80%。另外根据世界卫生组织(WHO)统计,发达国家每张病床每天产生的医疗废物约有 0.5kg,而发展中国家每张病床每天可以产生 0.5-2.5kg 医疗废物,因此假设我国每病床每天产生 1kg 医疗废物,可得 2018 年全国产生医疗废物约 240 万吨。
2014 年,卫生部出台《关于进一步规范医疗废物管理工作的通知》要求各省市出台相关医疗废物处理标准,各省推出以床位为基础的收费标准。目前医疗废物处置收费主要采用按床位,按重量,分档定额三种计价方式,各地收费标准差异较大,全国大部分省市费用在 2-3 元/床*日,按医疗废物单位处置成本 2.5 元/床*日计算,2018 年中国医疗废物处理市场规模约为60.4 亿元。2013 年-2018 年我国医疗废物处理市场规模年复合增速达 5.4%,叠加医废景气度提升带来的主题性投资机会,预计 2020 年我国医疗废物处理市场规模将超 80 亿元。
4.投资机会
受疫情影响,我国短期内医疗废物处置需求明显提升,而十部委联合发布的《医疗机构废弃物综合治理工作方案》,意味着医废处理行业再次迎来重大政策支持。在存量的医废运转处理逐步规范化的同时,新增医废处理能力建设也将加快脚步。建议关注危废处理处置龙头东江环保(002672.SZ)、医废危废处置能力持续提升的高能环境(603588.SH)
……
(报告来源:银河证券)
如需完整报告请登录【未来智库官网】。
(本文仅供参考,不代表我们的任何投资建议。如需使用相关信息,请参阅报告原文。)
- 轻松健康公司研究报告:深耕AI医疗的数字健康生态构建者,数据与技术双轮驱动.pdf
- 心玮医疗_B公司研究报告:神经介入筑底,介入式脑机接口稀缺标的.pdf
- 全球医疗保健行业:CDMO行业格局演进,第8期,复苏分化走势持续;新分子领域赢家明确——TIDES和偶联药物前景延伸至2026年(摘要).pdf
- 英科医疗首次覆盖报告:产能出清尾声,成本优势胜出.pdf
- 三星医疗公司研究报告:双主业经营稳健,智能配用电加速出海.pdf
- 医疗卫生行业ESG白皮书.pdf
- 美国卫生与公众服务部发布 “医疗卫生行业人工智能发展战略计划”.pdf
- 荣续ESG智库:2025年医疗卫生行业ESG白皮书.pdf
- 浙江数字医疗卫生技术研究院-健康医疗数据要素价值开发行业观察.pdf
- 成都市卫生局所属医疗卫生设备采购项目(第二批)投标人的资格性.docx
- 相关标签
- 相关专题
- 相关文档
- 相关文章
- 全部热门
- 本年热门
- 本季热门
- 1 迈瑞医疗研究报告:磨砺创新铸辉煌,迈步全球谱华章.pdf
- 2 医疗人工智能应用行业发展白皮书.pdf
- 3 互联网医疗行业深度报告:商业模式、竞争格局、演化路径.pdf
- 4 中国医疗器械蓝皮书(2019版).pdf
- 5 2024数字医疗年度创新白皮书.pdf
- 6 国家高性能医疗器械创新中心-高性能医疗器械2023年度发展报告.pdf
- 7 中国医疗改革的历史、现状、未来和产业链影响(100页PPT).pptx
- 8 医疗器械行业深度研究.pdf
- 9 医疗信息化深度研究报告(75页).pdf
- 10 2020医药行业洞察与竞争指引(117页PPT).pptx
- 1 讯飞医疗科技研究报告:医疗领头企业,成长引擎动能充足.pdf
- 2 医疗AI专题报告:多组学篇,AI技术驱动精准诊断实现重要突破.pdf
- 3 智药局:2025年AI Agent+医疗行业研究报告.pdf
- 4 2025医疗大健康行业全渠道营销报告.pdf
- 5 讯飞医疗科技公司研究报告:AI医疗先行者,贯通式布局医疗信息化.pdf
- 6 迈瑞医疗公司研究报告:长周期拐点来临,流水化、数智化、国际化驱动价值重估.pdf
- 7 爱康医疗骨科关节领军者:借手术机器人东风,加速国际化布局.pdf
- 8 爱博医疗研究报告:高成长性眼科医疗器械龙头,PR获批打造新增长极.pdf
- 9 罗兰贝格-预见2025:中国行业趋势报告~2025年度特别报告.pdf
- 10 乐普医疗:严肃医疗强背景,医美筑新增长极.pdf
- 1 讯飞医疗科技公司研究报告:AI医疗先行者,贯通式布局医疗信息化.pdf
- 2 迈瑞医疗公司研究报告:长周期拐点来临,流水化、数智化、国际化驱动价值重估.pdf
- 3 爱康医疗骨科关节领军者:借手术机器人东风,加速国际化布局.pdf
- 4 乐普医疗:严肃医疗强背景,医美筑新增长极.pdf
- 5 医药生物行业医疗器械2026年度策略:把握出海陡峭曲线,卡位AI医疗商业化落地.pdf
- 6 医疗器械行业求索系列11 :脑机接口行业——政策加码,临床加速,产业化进入关键阶段.pdf
- 7 AI医疗行业专题报告:AI重构医疗,从场景落地到变现讨论.pdf
- 8 2026年中国医疗行业展望:“三医协同”重构产业价值链.pdf
- 9 讯飞医疗科技公司研究报告:AI医疗龙头,GBC全场景贯通&中试基地卡位明确,规模化落地有望加速.pdf
- 10 英科医疗:手套行业回暖,龙头份额提升可期.pdf
- 全部热门
- 本年热门
- 本季热门
- 1 2026年轻松健康公司研究报告:深耕AI医疗的数字健康生态构建者,数据与技术双轮驱动
- 2 2026年心玮医疗_B公司研究报告:神经介入筑底,介入式脑机接口稀缺标的
- 3 2026年英科医疗首次覆盖报告:产能出清尾声,成本优势胜出
- 4 2026年三星医疗公司研究报告:双主业经营稳健,智能配用电加速出海
- 5 2026年医疗保健行业基药目录深度:基药目录的历史与启示
- 6 2026年医疗耗材行业报告:国产PFA前景可期
- 7 2026年讯飞医疗科技公司研究报告:星火模型赋能全域医疗,GBC三端协同构筑成长新格局
- 8 2026年通策医疗深度研究报告:沉舟侧畔千帆过,口腔医疗服务龙头再起航
- 9 2026年英科医疗公司研究报告:百尺竿头,更进一步——全球丁腈手套龙头周期复苏与进阶之路
- 10 2026年AI医疗行业2月月报:AI药物发现提速,国产医疗大模型彰显国际竞争力
- 1 2026年轻松健康公司研究报告:深耕AI医疗的数字健康生态构建者,数据与技术双轮驱动
- 2 2026年心玮医疗_B公司研究报告:神经介入筑底,介入式脑机接口稀缺标的
- 3 2026年英科医疗首次覆盖报告:产能出清尾声,成本优势胜出
- 4 2026年三星医疗公司研究报告:双主业经营稳健,智能配用电加速出海
- 5 2026年医疗保健行业基药目录深度:基药目录的历史与启示
- 6 2026年医疗耗材行业报告:国产PFA前景可期
- 7 2026年讯飞医疗科技公司研究报告:星火模型赋能全域医疗,GBC三端协同构筑成长新格局
- 8 2026年通策医疗深度研究报告:沉舟侧畔千帆过,口腔医疗服务龙头再起航
- 9 2026年英科医疗公司研究报告:百尺竿头,更进一步——全球丁腈手套龙头周期复苏与进阶之路
- 10 2026年AI医疗行业2月月报:AI药物发现提速,国产医疗大模型彰显国际竞争力
- 1 2026年轻松健康公司研究报告:深耕AI医疗的数字健康生态构建者,数据与技术双轮驱动
- 2 2026年心玮医疗_B公司研究报告:神经介入筑底,介入式脑机接口稀缺标的
- 3 2026年英科医疗首次覆盖报告:产能出清尾声,成本优势胜出
- 4 2026年三星医疗公司研究报告:双主业经营稳健,智能配用电加速出海
- 5 2026年医疗保健行业基药目录深度:基药目录的历史与启示
- 6 2026年医疗耗材行业报告:国产PFA前景可期
- 7 2026年讯飞医疗科技公司研究报告:星火模型赋能全域医疗,GBC三端协同构筑成长新格局
- 8 2026年通策医疗深度研究报告:沉舟侧畔千帆过,口腔医疗服务龙头再起航
- 9 2026年英科医疗公司研究报告:百尺竿头,更进一步——全球丁腈手套龙头周期复苏与进阶之路
- 10 2026年AI医疗行业2月月报:AI药物发现提速,国产医疗大模型彰显国际竞争力
- 最新文档
- 最新精读
- 1 2026年中国医药行业:全球减重药物市场,千亿蓝海与创新迭代
- 2 2026年银行自营投资手册(三):流动性监管指标对银行投资行为的影响(上)
- 3 2026年香港房地产行业跟踪报告:如何看待本轮香港楼市复苏的本质?
- 4 2026年投资银行业与经纪业行业:复盘投融资平衡周期,如何看待本轮“慢牛”的持续性?
- 5 2026年电子设备、仪器和元件行业“智存新纪元”系列之一:CXL,互联筑池化,破局内存墙
- 6 2026年银行业上市银行Q1及全年业绩展望:业绩弹性释放,关注负债成本优化和中收潜力
- 7 2026年区域经济系列专题研究报告:“都”与“城”相融、疏解与协同并举——现代化首都都市圈空间协同规划详解
- 8 2026年历史6轮油价上行周期对当下交易的启示
- 9 2026年国防军工行业:商业航天革命先驱Starlink深度解析
- 10 2026年创新引领,AI赋能:把握科技产业升级下的投资机会
